Métodos de Boosting

Introducción al Boosting

En el capítulo anterior estudiamos Random Forest, un método de ensamble que construye múltiples árboles de decisión de manera paralela e independiente, promediando sus predicciones para reducir la varianza. Random Forest es robusto, fácil de usar y funciona bien en una amplia variedad de problemas. Sin embargo, existe otra familia de métodos de ensamble que adopta una filosofía radicalmente diferente: los métodos de boosting.

A diferencia de los métodos de bagging, que construyen modelos independientes en paralelo, el boosting construye una secuencia de modelos de forma iterativa y adaptativa. Cada nuevo modelo se enfoca específicamente en corregir los errores cometidos por los modelos anteriores. Esta idea es intuitiva: si un estudiante está aprendiendo un tema difícil, no repite el mismo ejercicio una y otra vez esperando mejorar (como haría bagging). En su lugar, identifica sus errores, presta atención especial a los conceptos que no comprende bien, y practica específicamente en esas áreas débiles. Exactamente así funciona el boosting: es un proceso de aprendizaje adaptativo que se enfoca iterativamente en los casos más difíciles.

Esta estrategia ha demostrado ser extraordinariamente exitosa en la práctica. Los algoritmos de boosting, particularmente sus implementaciones modernas como XGBoost, LightGBM y CatBoost, dominan las competencias de machine learning como Kaggle, son ampliamente utilizados en la industria para problemas de predicción con datos estructurados (tablas), y han ganado reputación como los algoritmos de aprendizaje supervisado más efectivos para este tipo de datos. En este capítulo exploraremos por qué el boosting es tan poderoso, cómo funcionan sus principales variantes, y cómo aplicarlo efectivamente en problemas reales.

El Concepto Central del Boosting

La idea fundamental del boosting se puede resumir en una fórmula simple pero poderosa:

\[ \text{Aprendices débiles} + \text{Aprendizaje adaptativo} = \text{Aprendiz fuerte} \]

Un aprendiz débil (weak learner) es un modelo que tiene un desempeño apenas mejor que el azar. Por ejemplo, en clasificación binaria, un modelo que acierta el 51% de las veces es un aprendiz débil (comparado con 50% de adivinar al azar). En la práctica, los árboles de decisión muy simples, llamados decision stumps (árboles de profundidad 1, con una sola división), son los aprendices débiles más comunes en boosting.

Aprendiz Débil (Weak Learner)

Un aprendiz débil es un modelo de predicción cuyo desempeño es ligeramente mejor que adivinar al azar, pero no necesariamente muy preciso. La teoría matemática del boosting garantiza que combinando múltiples aprendices débiles de forma adecuada, es posible construir un modelo arbitrariamente preciso, asumiendo que cada aprendiz débil es mejor que el azar.

Los árboles de decisión poco profundos (típicamente profundidad 1-3) son los aprendices débiles más utilizados en boosting porque:

  • Son rápidos de entrenar
  • Tienen alto sesgo pero baja varianza
  • Pueden capturar interacciones entre variables
  • Son diferenciables (importante para gradient boosting)

El boosting construye un modelo final como una combinación ponderada de estos aprendices débiles:

\[ F(x) = \sum_{m=1}^{M} \alpha_m h_m(x) \]

donde:

  • \(F(x)\) es la predicción final del modelo de boosting
  • \(M\) es el número total de iteraciones (modelos débiles)
  • \(h_m(x)\) es el \(m\)-ésimo aprendiz débil
  • \(\alpha_m\) es el peso asignado al modelo \(h_m(x)\)

La magia del boosting está en cómo construimos esta secuencia. Cada nuevo modelo \(h_m\) no se entrena de manera independiente (como en bagging), sino que se enfoca específicamente en los ejemplos donde el modelo acumulado \(F_{m-1}(x) = \sum_{i=1}^{m-1} \alpha_i h_i(x)\) tiene mayor error. En otras palabras:

  1. Iteración 1: Entrenamos un modelo simple en todos los datos
  2. Iteración 2: Identificamos dónde falló el primer modelo y entrenamos un segundo modelo que se enfoca en esos errores
  3. Iteración 3: Identificamos dónde falló la combinación de los dos primeros modelos y entrenamos un tercer modelo para corregir
  4. …y así sucesivamente

Este proceso adaptativo y secuencial es lo que distingue fundamentalmente al boosting de otros métodos de ensamble.

Diferencia Clave: Boosting vs Bagging

La diferencia fundamental entre boosting y bagging se resume en dos dimensiones:

Construcción:

  • Bagging (Random Forest): Construye árboles en paralelo e independientemente. Cada árbol se entrena en una muestra bootstrap diferente sin comunicación entre ellos.
  • Boosting: Construye modelos secuencialmente y adaptativamente. Cada nuevo modelo depende explícitamente de los errores de los modelos anteriores.

Objetivo:

  • Bagging: Reduce varianza promediando modelos complejos (árboles profundos)
  • Boosting: Reduce sesgo combinando modelos simples (árboles superficiales) que corrigen iterativamente los errores

Esta diferencia tiene consecuencias importantes:

  • Bagging es fácilmente paralelizable (todos los árboles pueden entrenarse simultáneamente)
  • Boosting debe entrenarse secuencialmente (cada modelo necesita los resultados del anterior)
  • Bagging es muy robusto al ruido y outliers
  • Boosting puede sobreajustar si no se regula cuidadosamente, especialmente en datos ruidosos

Intuición Visual: Boosting en Acción

Para entender cómo funciona el boosting en la práctica, consideremos un problema de regresión simple en una dimensión. Generaremos datos sintéticos con una función no lineal y veremos cómo el boosting construye iterativamente un modelo cada vez más preciso.

import numpy as np
import matplotlib.pyplot as plt
from sklearn.ensemble import GradientBoostingRegressor
from sklearn.tree import DecisionTreeRegressor

# Configurar el estilo de las gráficas
plt.style.use('default')
np.random.seed(42)

# Generar datos sintéticos 1D
def true_function(x):
    """Función verdadera: combinación de seno y tendencia lineal"""
    return np.sin(2 * x) + 0.1 * x + np.cos(x)

# Generar datos
n_samples = 150
X_train = np.random.uniform(-3, 3, n_samples)
y_train = true_function(X_train) + np.random.normal(0, 0.2, n_samples)

# Puntos para visualización
X_plot = np.linspace(-3, 3, 300).reshape(-1, 1)
y_true = true_function(X_plot.ravel())

# Entrenar modelos con diferente número de iteraciones
single_tree = DecisionTreeRegressor(max_depth=2, random_state=42)
single_tree.fit(X_train.reshape(-1, 1), y_train)

boosting_5 = GradientBoostingRegressor(
    n_estimators=5,
    max_depth=2,
    learning_rate=0.5,
    random_state=42
)
boosting_5.fit(X_train.reshape(-1, 1), y_train)

boosting_20 = GradientBoostingRegressor(
    n_estimators=20,
    max_depth=2,
    learning_rate=0.5,
    random_state=42
)
boosting_20.fit(X_train.reshape(-1, 1), y_train)

# Predicciones
y_single = single_tree.predict(X_plot)
y_boost_5 = boosting_5.predict(X_plot)
y_boost_20 = boosting_20.predict(X_plot)

# Crear figura con 4 subgráficas
fig, axes = plt.subplots(2, 2, figsize=(12, 8))

# (a) Datos originales
ax = axes[0, 0]
ax.scatter(X_train, y_train, alpha=0.5, s=30, edgecolors='k', linewidths=0.5, label='Datos de entrenamiento')
ax.plot(X_plot, y_true, 'g-', linewidth=2, label='Función verdadera')
ax.set_xlabel('x', fontsize=11)
ax.set_ylabel('y', fontsize=11)
ax.set_title('(a) Datos originales', fontsize=12, fontweight='bold')
ax.legend(fontsize=9)
ax.grid(True, alpha=0.3)

# (b) Árbol único (aprendiz débil)
ax = axes[0, 1]
ax.scatter(X_train, y_train, alpha=0.3, s=30, edgecolors='k', linewidths=0.5, label='Datos')
ax.plot(X_plot, y_true, 'g-', linewidth=1.5, alpha=0.5, label='Función verdadera')
ax.plot(X_plot, y_single, 'r-', linewidth=2.5, label='Árbol único (débil)')
ax.set_xlabel('x', fontsize=11)
ax.set_ylabel('y', fontsize=11)
ax.set_title('(b) Un solo aprendiz débil (árbol profundidad=2)', fontsize=12, fontweight='bold')
ax.legend(fontsize=9)
ax.grid(True, alpha=0.3)

# Calcular y mostrar MSE
mse_single = np.mean((y_train - single_tree.predict(X_train.reshape(-1, 1)))**2)
ax.text(0.05, 0.95, f'MSE = {mse_single:.3f}', transform=ax.transAxes,
        verticalalignment='top', bbox=dict(boxstyle='round', facecolor='wheat', alpha=0.5),
        fontsize=9)

# (c) Boosting con 5 iteraciones
ax = axes[1, 0]
ax.scatter(X_train, y_train, alpha=0.3, s=30, edgecolors='k', linewidths=0.5, label='Datos')
ax.plot(X_plot, y_true, 'g-', linewidth=1.5, alpha=0.5, label='Función verdadera')
ax.plot(X_plot, y_boost_5, 'b-', linewidth=2.5, label='Boosting (5 iteraciones)')
ax.set_xlabel('x', fontsize=11)
ax.set_ylabel('y', fontsize=11)
ax.set_title('(c) Después de 5 iteraciones de boosting', fontsize=12, fontweight='bold')
ax.legend(fontsize=9)
ax.grid(True, alpha=0.3)

# Calcular y mostrar MSE
mse_boost5 = np.mean((y_train - boosting_5.predict(X_train.reshape(-1, 1)))**2)
ax.text(0.05, 0.95, f'MSE = {mse_boost5:.3f}', transform=ax.transAxes,
        verticalalignment='top', bbox=dict(boxstyle='round', facecolor='lightblue', alpha=0.5),
        fontsize=9)

# (d) Boosting con 20 iteraciones
ax = axes[1, 1]
ax.scatter(X_train, y_train, alpha=0.3, s=30, edgecolors='k', linewidths=0.5, label='Datos')
ax.plot(X_plot, y_true, 'g-', linewidth=1.5, alpha=0.5, label='Función verdadera')
ax.plot(X_plot, y_boost_20, 'purple', linewidth=2.5, label='Boosting (20 iteraciones)')
ax.set_xlabel('x', fontsize=11)
ax.set_ylabel('y', fontsize=11)
ax.set_title('(d) Después de 20 iteraciones de boosting', fontsize=12, fontweight='bold')
ax.legend(fontsize=9)
ax.grid(True, alpha=0.3)

# Calcular y mostrar MSE
mse_boost20 = np.mean((y_train - boosting_20.predict(X_train.reshape(-1, 1)))**2)
ax.text(0.05, 0.95, f'MSE = {mse_boost20:.3f}', transform=ax.transAxes,
        verticalalignment='top', bbox=dict(boxstyle='round', facecolor='plum', alpha=0.5),
        fontsize=9)

plt.tight_layout()
plt.show()
Figura 10.1: Demostración visual del proceso de boosting en un problema de regresión 1D. (a) Los datos originales con una función no lineal más ruido. (b) Un único árbol de decisión poco profundo (aprendiz débil) proporciona una aproximación muy burda. (c) Después de 5 iteraciones de boosting, el modelo comienza a capturar la forma general de los datos. (d) Después de 20 iteraciones, el modelo se ajusta bien a la función subyacente, corrigiendo progresivamente los errores de las iteraciones anteriores.

Esta visualización ilustra el proceso fundamental del boosting:

  1. Panel (a): Los datos originales muestran una relación no lineal con ruido. Un modelo lineal simple tendría alto sesgo en este problema.

  2. Panel (b): Un único árbol de profundidad 2 (nuestro aprendiz débil) proporciona una aproximación muy burda con forma de escalera. Este modelo tiene alto sesgo (MSE alto) - claramente no captura bien la complejidad de los datos.

  3. Panel (c): Después de 5 iteraciones, cada una agregando un nuevo árbol que corrige los errores de la combinación anterior, el modelo comienza a capturar la tendencia general. El MSE ha disminuido significativamente.

  4. Panel (d): Con 20 iteraciones, el modelo final se ajusta muy bien a la función verdadera. Cada iteración agregó correcciones incrementales, construyendo colaborativamente una función compleja a partir de piezas simples.

Veamos ahora cómo evolucionan los residuales (errores) a través de las iteraciones, que es donde realmente se aprecia la naturaleza adaptativa del boosting:

# Entrenar modelos intermedios para ver la evolución de residuales
boosting_1 = GradientBoostingRegressor(
    n_estimators=1,
    max_depth=2,
    learning_rate=0.5,
    random_state=42
)
boosting_1.fit(X_train.reshape(-1, 1), y_train)

# Calcular residuales
residuals_1 = y_train - boosting_1.predict(X_train.reshape(-1, 1))
residuals_5 = y_train - boosting_5.predict(X_train.reshape(-1, 1))
residuals_20 = y_train - boosting_20.predict(X_train.reshape(-1, 1))

# Crear figura
fig, axes = plt.subplots(1, 3, figsize=(12, 4))

# (a) Residuales después de 1 iteración
ax = axes[0]
ax.scatter(X_train, residuals_1, alpha=0.6, s=40, c=np.abs(residuals_1),
           cmap='Reds', edgecolors='k', linewidths=0.5)
ax.axhline(y=0, color='k', linestyle='--', linewidth=1.5, alpha=0.7)
ax.set_xlabel('x', fontsize=11)
ax.set_ylabel('Residual (y - ŷ)', fontsize=11)
ax.set_title('(a) Residuales después de 1 iteración', fontsize=12, fontweight='bold')
ax.grid(True, alpha=0.3)
std_1 = np.std(residuals_1)
ax.text(0.05, 0.95, f'Std(residuales) = {std_1:.3f}', transform=ax.transAxes,
        verticalalignment='top', bbox=dict(boxstyle='round', facecolor='wheat', alpha=0.5),
        fontsize=9)

# (b) Residuales después de 5 iteraciones
ax = axes[1]
ax.scatter(X_train, residuals_5, alpha=0.6, s=40, c=np.abs(residuals_5),
           cmap='Reds', edgecolors='k', linewidths=0.5)
ax.axhline(y=0, color='k', linestyle='--', linewidth=1.5, alpha=0.7)
ax.set_xlabel('x', fontsize=11)
ax.set_ylabel('Residual (y - ŷ)', fontsize=11)
ax.set_title('(b) Residuales después de 5 iteraciones', fontsize=12, fontweight='bold')
ax.grid(True, alpha=0.3)
std_5 = np.std(residuals_5)
ax.text(0.05, 0.95, f'Std(residuales) = {std_5:.3f}', transform=ax.transAxes,
        verticalalignment='top', bbox=dict(boxstyle='round', facecolor='lightblue', alpha=0.5),
        fontsize=9)

# (c) Residuales después de 20 iteraciones
ax = axes[2]
ax.scatter(X_train, residuals_20, alpha=0.6, s=40, c=np.abs(residuals_20),
           cmap='Reds', edgecolors='k', linewidths=0.5)
ax.axhline(y=0, color='k', linestyle='--', linewidth=1.5, alpha=0.7)
ax.set_xlabel('x', fontsize=11)
ax.set_ylabel('Residual (y - ŷ)', fontsize=11)
ax.set_title('(c) Residuales después de 20 iteraciones', fontsize=12, fontweight='bold')
ax.grid(True, alpha=0.3)
std_20 = np.std(residuals_20)
ax.text(0.05, 0.95, f'Std(residuales) = {std_20:.3f}', transform=ax.transAxes,
        verticalalignment='top', bbox=dict(boxstyle='round', facecolor='plum', alpha=0.5),
        fontsize=9)

plt.tight_layout()
plt.show()
Figura 10.2: Evolución de los residuales durante el proceso de boosting. Los residuales son las diferencias entre los valores verdaderos y las predicciones del modelo acumulado. (a) Después de la primera iteración, los residuales son grandes y estructurados. (b) Después de 5 iteraciones, los residuales se han reducido considerablemente. (c) Después de 20 iteraciones, los residuales son pequeños y cercanos a cero, indicando que el modelo ha aprendido la función subyacente. Cada nueva iteración se enfoca en reducir estos residuales.

Los residuales nos muestran la historia completa del boosting:

  • Después de 1 iteración: Los residuales son grandes (desviación estándar alta) y muestran patrones claros. Hay regiones donde el modelo consistentemente subestima o sobreestima.

  • Después de 5 iteraciones: Los residuales se han reducido considerablemente. Los patrones sistemáticos han disminuido, pero aún hay estructura que el modelo no ha capturado completamente.

  • Después de 20 iteraciones: Los residuales son pequeños y se distribuyen aleatoriamente alrededor de cero. Esto indica que el modelo ha aprendido la señal subyacente y lo que queda es principalmente ruido irreducible.

La lección clave: Cada nueva iteración de boosting entrena un modelo que intenta predecir estos residuales, y luego lo suma al modelo acumulado. Este proceso de “corrección iterativa de errores” es la esencia del boosting, y es lo que le permite construir modelos complejos y precisos a partir de componentes simples.

En las siguientes secciones, exploraremos los algoritmos específicos que implementan esta idea general: desde AdaBoost, el primer método práctico de boosting, hasta gradient boosting y sus implementaciones modernas que dominan el campo del machine learning para datos estructurados.

Boosting vs Bagging vs Random Forest

Ahora que comprendemos la intuición básica del boosting, es importante posicionarlo claramente frente a otros métodos de ensamble que ya conocemos: bagging y Random Forest. Aunque todos estos métodos combinan múltiples modelos base para mejorar el rendimiento, difieren fundamentalmente en cómo construyen y combinan estos modelos, y en qué tipo de error están diseñados para reducir.

Tabla Comparativa

La siguiente tabla resume las diferencias clave entre estos tres métodos de ensamble:

Característica Bagging Random Forest Boosting
Construcción Paralela Paralela Secuencial
Dependencia Independiente Independiente Adaptativa
Objetivo principal Reducir varianza Reducir varianza Reducir sesgo
Aprendices base Fuertes (árboles profundos) Fuertes (árboles profundos) Débiles (árboles superficiales)
Muestreo de datos Bootstrap de filas Bootstrap de filas Pesos adaptativos o full data
Muestreo de features Todas las features Subconjunto aleatorio Todas las features
Riesgo de sobreajuste Bajo Muy bajo Medio-Alto
Sensibilidad al ruido Baja Muy baja Alta
Velocidad de entrenamiento Rápida (paralelizable) Rápida (paralelizable) Más lenta (secuencial)
Velocidad de predicción Media Media Rápida-Media
Interpretabilidad Baja Baja Media
Implicaciones de la Construcción Paralela vs Secuencial

La diferencia entre construcción paralela (bagging/RF) y secuencial (boosting) tiene consecuencias prácticas importantes:

Paralelización:

  • Bagging y Random Forest pueden entrenar todos los árboles simultáneamente en múltiples núcleos/máquinas
  • Boosting debe entrenar cada modelo después del anterior, limitando la paralelización
  • En sistemas distribuidos modernos, esto puede significar diferencias de velocidad de 10-100x

Adaptación:

  • En bagging/RF, si un árbol comete errores, los otros árboles no lo “saben”
  • En boosting, cada modelo nuevo se construye específicamente para corregir los errores de los anteriores
  • Esto hace al boosting más “inteligente” pero también más susceptible a sobreajustar datos ruidosos

Perspectiva de Sesgo-Varianza

Para entender profundamente cuándo usar cada método, debemos revisar la descomposición del error en términos de sesgo y varianza (visto en el ?sec-principios).

Recordemos que el error esperado de predicción se puede descomponer como:

\[ \text{Error esperado} = \text{Sesgo}^2 + \text{Varianza} + \text{Ruido irreducible} \]

  • Sesgo: Error por supuestos simplificadores en el modelo. Modelos simples (ej: regresión lineal) tienen alto sesgo.
  • Varianza: Error por sensibilidad a fluctuaciones en los datos de entrenamiento. Modelos complejos (ej: árboles profundos) tienen alta varianza.

Los tres métodos atacan diferentes partes de esta ecuación:

Bagging y Random Forest: Reducen varianza

  • Comienzan con aprendices base que tienen baja sesgo pero alta varianza (árboles profundos sin poda)
  • Un solo árbol profundo sobreajusta y varía mucho entre muestras de entrenamiento
  • Promediando muchos árboles, la varianza se reduce: \(\text{Var}(\bar{X}) = \frac{\sigma^2}{n}\)
  • El sesgo se mantiene aproximadamente igual (promedio de modelos insesgados es insesgado)
  • Random Forest agrega decorrelación entre árboles para mejorar aún más la reducción de varianza

Boosting: Reduce sesgo

  • Comienza con aprendices base que tienen alto sesgo pero baja varianza (árboles superficiales, stumps)
  • Un solo árbol superficial es muy simple y subajusta (alto sesgo)
  • Combinando adaptativamente muchos modelos simples, cada uno corrigiendo los errores del anterior
  • La suma de muchos modelos simples crea un modelo complejo: el sesgo disminuye
  • La varianza aumenta un poco, pero se controla mediante regularización (learning rate, early stopping)

Visualicemos esto con un problema de clasificación concreto:

from sklearn.datasets import make_moons
from sklearn.model_selection import train_test_split
from sklearn.tree import DecisionTreeClassifier
from sklearn.ensemble import RandomForestClassifier, GradientBoostingClassifier
import matplotlib.pyplot as plt
import numpy as np

# Generar datos sintéticos
np.random.seed(42)
X, y = make_moons(n_samples=300, noise=0.25, random_state=42)
X_train, X_test, y_train, y_test = train_test_split(X, y, test_size=0.3, random_state=42)

# Entrenar modelos
single_deep_tree = DecisionTreeClassifier(max_depth=10, random_state=42)
single_deep_tree.fit(X_train, y_train)

random_forest = RandomForestClassifier(n_estimators=100, max_depth=10, random_state=42)
random_forest.fit(X_train, y_train)

single_shallow_tree = DecisionTreeClassifier(max_depth=1, random_state=42)
single_shallow_tree.fit(X_train, y_train)

boosting = GradientBoostingClassifier(n_estimators=100, max_depth=1, learning_rate=0.5, random_state=42)
boosting.fit(X_train, y_train)

# Crear malla para visualización
h = 0.02
x_min, x_max = X[:, 0].min() - 0.5, X[:, 0].max() + 0.5
y_min, y_max = X[:, 1].min() - 0.5, X[:, 1].max() + 0.5
xx, yy = np.meshgrid(np.arange(x_min, x_max, h), np.arange(y_min, y_max, h))

# Función auxiliar para plotear fronteras de decisión
def plot_decision_boundary(ax, model, X, y, title, X_test=None, y_test=None):
    Z = model.predict(np.c_[xx.ravel(), yy.ravel()])
    Z = Z.reshape(xx.shape)

    ax.contourf(xx, yy, Z, alpha=0.3, cmap='RdYlBu', levels=1)
    ax.scatter(X[:, 0], X[:, 1], c=y, cmap='RdYlBu', edgecolors='k',
               s=50, linewidths=1, alpha=0.7, label='Train')
    if X_test is not None:
        ax.scatter(X_test[:, 0], X_test[:, 1], c=y_test, cmap='RdYlBu',
                   edgecolors='k', s=50, linewidths=1.5, alpha=0.4,
                   marker='^', label='Test')

    train_acc = model.score(X, y)
    if X_test is not None:
        test_acc = model.score(X_test, y_test)
        ax.text(0.02, 0.98, f'Train: {train_acc:.3f}\nTest: {test_acc:.3f}',
                transform=ax.transAxes, verticalalignment='top',
                bbox=dict(boxstyle='round', facecolor='white', alpha=0.8),
                fontsize=9)

    ax.set_xlim(xx.min(), xx.max())
    ax.set_ylim(yy.min(), yy.max())
    ax.set_xlabel('Feature 1', fontsize=10)
    ax.set_ylabel('Feature 2', fontsize=10)
    ax.set_title(title, fontsize=11, fontweight='bold')
    ax.legend(fontsize=8, loc='lower right')

# Crear figura
fig = plt.figure(figsize=(14, 8))
gs = fig.add_gridspec(2, 3, hspace=0.3, wspace=0.3)

# (a) Datos originales
ax = fig.add_subplot(gs[0, 0])
ax.scatter(X_train[:, 0], X_train[:, 1], c=y_train, cmap='RdYlBu',
           edgecolors='k', s=50, linewidths=1, alpha=0.7, label='Train')
ax.scatter(X_test[:, 0], X_test[:, 1], c=y_test, cmap='RdYlBu',
           edgecolors='k', s=50, linewidths=1.5, alpha=0.4, marker='^', label='Test')
ax.set_xlabel('Feature 1', fontsize=10)
ax.set_ylabel('Feature 2', fontsize=10)
ax.set_title('(a) Datos originales (make_moons)', fontsize=11, fontweight='bold')
ax.legend(fontsize=8)
ax.grid(True, alpha=0.3)

# (b) Árbol profundo único (alta varianza, bajo sesgo)
ax = fig.add_subplot(gs[0, 1])
plot_decision_boundary(ax, single_deep_tree, X_train, y_train,
                       '(b) Árbol único profundo\n(Bajo sesgo, Alta varianza)',
                       X_test, y_test)
ax.grid(True, alpha=0.3)

# (c) Random Forest (baja varianza, bajo sesgo)
ax = fig.add_subplot(gs[0, 2])
plot_decision_boundary(ax, random_forest, X_train, y_train,
                       '(c) Random Forest\n(Bajo sesgo, Baja varianza)',
                       X_test, y_test)
ax.grid(True, alpha=0.3)

# (d) Árbol superficial único (alto sesgo, baja varianza)
ax = fig.add_subplot(gs[1, 0])
plot_decision_boundary(ax, single_shallow_tree, X_train, y_train,
                       '(d) Árbol único superficial\n(Alto sesgo, Baja varianza)',
                       X_test, y_test)
ax.grid(True, alpha=0.3)

# (e) Boosting (reducción de sesgo)
ax = fig.add_subplot(gs[1, 1])
plot_decision_boundary(ax, boosting, X_train, y_train,
                       '(e) Gradient Boosting\n(Bajo sesgo, Varianza controlada)',
                       X_test, y_test)
ax.grid(True, alpha=0.3)

# (f) Diagrama conceptual sesgo-varianza
ax = fig.add_subplot(gs[1, 2])
ax.text(0.5, 0.95, 'Trade-off Sesgo-Varianza', ha='center', va='top',
        fontsize=12, fontweight='bold', transform=ax.transAxes)

# Dibujar ejes
ax.arrow(0.1, 0.1, 0.8, 0, head_width=0.03, head_length=0.03, fc='black', ec='black')
ax.arrow(0.1, 0.1, 0, 0.7, head_width=0.03, head_length=0.03, fc='black', ec='black')
ax.text(0.95, 0.05, 'Sesgo →', ha='right', va='bottom', fontsize=10, transform=ax.transAxes)
ax.text(0.05, 0.85, 'Varianza\n↑', ha='left', va='top', fontsize=10, transform=ax.transAxes)

# Posicionar métodos
methods = {
    'Árbol profundo\n(sin poda)': (0.25, 0.7, 'red'),
    'Random Forest': (0.25, 0.35, 'green'),
    'Árbol superficial\n(stump)': (0.75, 0.25, 'orange'),
    'Boosting': (0.35, 0.35, 'blue'),
}

for method, (x, y, color) in methods.items():
    ax.plot(x, y, 'o', markersize=15, color=color, alpha=0.6, transform=ax.transAxes)
    ax.text(x, y-0.08, method, ha='center', va='top', fontsize=8.5,
            fontweight='bold', transform=ax.transAxes)

# Línea de error óptimo
x_line = np.linspace(0.1, 0.9, 100)
y_line = 0.15 + 0.5 * (x_line - 0.3)**2  # Parábola
ax.plot(x_line, y_line, 'k--', alpha=0.3, linewidth=2, transform=ax.transAxes, label='Error total')

ax.set_xlim(0, 1)
ax.set_ylim(0, 1)
ax.axis('off')

plt.show()
Figura 10.3: Comparación de métodos de ensamble desde la perspectiva sesgo-varianza en un problema de clasificación no lineal (make_moons). (a) Los datos tienen una estructura en forma de lunas entrelazadas con ruido. (b) Un árbol único profundo tiene bajo sesgo pero alta varianza (sobreajusta). (c) Random Forest mantiene bajo sesgo y reduce varianza significativamente. (d) Un árbol único superficial tiene alto sesgo pero baja varianza (subajusta). (e) Boosting reduce el sesgo progresivamente manteniendo la varianza controlada. Las fronteras de decisión ilustran cómo cada método equilibra este trade-off.

La visualización anterior ilustra claramente las diferencias:

  • Panel (b) - Árbol profundo único: La frontera de decisión es extremadamente irregular, ajustándose a cada peculiaridad de los datos de entrenamiento. Alta precisión en train (casi 1.0) pero menor en test. Esto es alta varianza y bajo sesgo.

  • Panel (c) - Random Forest: La frontera es suave pero captura bien la estructura en forma de luna. Precisión similar en train y test. Random Forest promedió 100 árboles profundos, reduciendo la varianza mientras mantiene bajo sesgo.

  • Panel (d) - Árbol superficial único: La frontera es extremadamente simple (una línea recta), incapaz de capturar la complejidad de los datos. Esto es alto sesgo y baja varianza.

  • Panel (e) - Gradient Boosting: La frontera captura bien la estructura no lineal sin sobreajustar excesivamente. Boosting combinó 100 árboles superficiales, cada uno corrigiendo errores del anterior, reduciendo el sesgo progresivamente.

  • Panel (f): El diagrama conceptual posiciona cada método en el espacio sesgo-varianza, mostrando que Random Forest y Boosting convergen a la zona de bajo error total desde direcciones opuestas.

Comparación de Curvas de Aprendizaje

Otra forma de entender las diferencias es observar cómo evoluciona el error en entrenamiento y validación a medida que agregamos más modelos al ensamble:

from sklearn.metrics import log_loss

# Entrenar modelos con staged_predict para obtener predicciones en cada iteración
rf = RandomForestClassifier(n_estimators=200, max_depth=10, random_state=42,
                             warm_start=False)
gb = GradientBoostingClassifier(n_estimators=200, max_depth=2, learning_rate=0.1,
                                 random_state=42)

rf.fit(X_train, y_train)
gb.fit(X_train, y_train)

# Para Random Forest, necesitamos entrenar incrementalmente
rf_train_errors = []
rf_test_errors = []
for n_trees in range(1, 201, 5):
    rf_temp = RandomForestClassifier(n_estimators=n_trees, max_depth=10, random_state=42)
    rf_temp.fit(X_train, y_train)
    rf_train_errors.append(1 - rf_temp.score(X_train, y_train))
    rf_test_errors.append(1 - rf_temp.score(X_test, y_test))

rf_n_estimators = list(range(1, 201, 5))

# Para Gradient Boosting, usamos staged_predict
gb_train_errors = []
gb_test_errors = []
for train_pred, test_pred in zip(gb.staged_predict(X_train), gb.staged_predict(X_test)):
    gb_train_errors.append(1 - np.mean(train_pred == y_train))
    gb_test_errors.append(1 - np.mean(test_pred == y_test))

gb_n_estimators = list(range(1, 201))

# Crear figura
fig, axes = plt.subplots(1, 2, figsize=(12, 5))

# (a) Random Forest
ax = axes[0]
ax.plot(rf_n_estimators, rf_train_errors, 'b-', linewidth=2, label='Error Train', alpha=0.7)
ax.plot(rf_n_estimators, rf_test_errors, 'r-', linewidth=2, label='Error Test', alpha=0.7)
ax.set_xlabel('Número de árboles', fontsize=11)
ax.set_ylabel('Error de clasificación', fontsize=11)
ax.set_title('(a) Random Forest: Curvas de aprendizaje', fontsize=12, fontweight='bold')
ax.legend(fontsize=10)
ax.grid(True, alpha=0.3)
ax.set_ylim([0, 0.4])

# Marcar punto de rendimiento estable
stable_point = 50
ax.axvline(x=stable_point, color='green', linestyle='--', alpha=0.5, linewidth=1.5)
ax.text(stable_point + 5, 0.35, f'Estable en ~{stable_point} árboles',
        fontsize=9, color='green', fontweight='bold')

# (b) Gradient Boosting
ax = axes[1]
ax.plot(gb_n_estimators, gb_train_errors, 'b-', linewidth=2, label='Error Train', alpha=0.7)
ax.plot(gb_n_estimators, gb_test_errors, 'r-', linewidth=2, label='Error Test', alpha=0.7)
ax.set_xlabel('Número de iteraciones', fontsize=11)
ax.set_ylabel('Error de clasificación', fontsize=11)
ax.set_title('(b) Gradient Boosting: Curvas de aprendizaje', fontsize=12, fontweight='bold')
ax.legend(fontsize=10)
ax.grid(True, alpha=0.3)
ax.set_ylim([0, 0.4])

# Marcar punto óptimo (antes de que test error aumente)
best_n = np.argmin(gb_test_errors)
ax.axvline(x=best_n, color='green', linestyle='--', alpha=0.5, linewidth=1.5)
ax.plot(best_n, gb_test_errors[best_n], 'go', markersize=10, label=f'Óptimo ({best_n} iter.)')
ax.text(best_n + 5, 0.35, f'Óptimo: {best_n} iteraciones\n(early stopping)',
        fontsize=9, color='green', fontweight='bold')

# Marcar zona de sobreajuste
if best_n < 180:
    ax.axvspan(best_n + 20, 200, alpha=0.2, color='red', label='Zona de sobreajuste')
    ax.text(best_n + 30, 0.05, 'Sobreajuste', fontsize=9, color='darkred',
            fontweight='bold', rotation=0)

plt.tight_layout()
plt.show()
Figura 10.4: Curvas de aprendizaje comparando Random Forest y Gradient Boosting. Para ambos métodos, se muestra el error de entrenamiento y validación a medida que se agregan más árboles al ensamble. (a) Random Forest: el error de entrenamiento y validación convergen rápidamente y se estabilizan. (b) Gradient Boosting: el error de entrenamiento continúa disminuyendo, pero el error de validación eventualmente comienza a aumentar si no se detiene a tiempo, indicando sobreajuste. Esto ilustra que boosting requiere más cuidado en la regularización.

Las curvas de aprendizaje revelan comportamientos distintivos:

Random Forest (panel a): - El error de entrenamiento y validación convergen rápidamente (en ~50 árboles) - Agregar más árboles mejora marginalmente o no cambia el rendimiento - No hay sobreajuste: ambas curvas se estabilizan juntas - Es seguro usar muchos árboles (100-500) sin preocuparse por sobreajuste

Gradient Boosting (panel b): - El error de entrenamiento continúa disminuyendo monotónicamente - El error de validación disminuye inicialmente pero puede aumentar después - Riesgo de sobreajuste: si entrenamos demasiadas iteraciones - Es crucial usar early stopping: detener cuando el error de validación deja de mejorar - En este ejemplo, el óptimo está alrededor de 70-100 iteraciones

Cuándo usar Bagging vs Boosting

Usa Bagging (o Random Forest) cuando:

  • Los datos tienen mucho ruido o outliers
  • Prefieres un modelo robusto que “no se rompa” fácilmente
  • Necesitas paralelización para datasets muy grandes
  • Quieres un modelo “plug-and-play” con pocos hiperparámetros
  • No te importa un tiempo de predicción ligeramente mayor

Usa Boosting cuando:

  • Los datos son relativamente limpios con etiquetas confiables
  • Tienes un modelo con alto sesgo que necesitas mejorar
  • Estás dispuesto a invertir tiempo en ajustar hiperparámetros
  • Necesitas extraer el máximo rendimiento del modelo
  • Puedes monitorear y usar validación cruzada o early stopping

Regla general: Si tienes dudas, empieza con Random Forest. Es más robusto y perdona errores. Si Random Forest funciona bien pero quieres apretar hasta la última gota de performance, prueba boosting cuidadosamente.

¿Cuándo Usar Cada Método?

Para ayudar en la decisión, aquí hay una guía práctica:

Situaciones donde Random Forest es superior:

  1. Datos muy ruidosos: Con muchos outliers o errores de etiquetado
  2. Datasets desbalanceados: Donde ciertas clases son raras
  3. Features de alta cardinalidad: Variables categóricas con muchos niveles
  4. Tiempo limitado: Necesitas resultados rápidos sin mucho tuning
  5. Entrenamiento distribuido: Tienes muchas máquinas disponibles

Situaciones donde Boosting es superior:

  1. Datos limpios y bien curados: Con etiquetas confiables
  2. Modelos simples fracasan: Alto sesgo que necesitas reducir
  3. Competencias de ML: Donde cada 0.1% de accuracy importa
  4. Features informativas: Pocas features realmente útiles que boosting puede aprovechar
  5. Interpretabilidad relativa: Necesitas feature importance y explicaciones

Casos ambiguos - prueba ambos: - Datasets de tamaño medio (~1K-100K filas) - Problemas de regresión con métricas cuadráticas - Datos tabulares estándar sin características extremas - Cuando tienes tiempo para experimentación

En la práctica, muchos científicos de datos entrenan ambos y usan validación cruzada para decidir. Los mejores modelos a menudo son ensambles de ensambles: combinaciones de Random Forest y Boosting que capturan lo mejor de ambos mundos.

En las siguientes secciones, profundizaremos en los algoritmos específicos de boosting, comenzando con AdaBoost, el primero en demostrar que esta idea funcionaba en la práctica.

AdaBoost: Adaptive Boosting

Contexto Histórico e Importancia

AdaBoost (Adaptive Boosting) fue desarrollado por Yoav Freund y Robert Schapire en 1996, convirtiéndose en el primer algoritmo práctico de boosting ampliamente exitoso. Su trabajo les valió el prestigioso Premio Gödel en 2003, uno de los reconocimientos más importantes en ciencias de la computación teórica.

Antes de AdaBoost, existían resultados teóricos que sugerían que era posible combinar aprendices débiles para crear un aprendiz fuerte, pero faltaba un algoritmo práctico y eficiente. AdaBoost resolvió este problema de manera elegante, proporcionando:

  1. Un algoritmo simple y práctico: Fácil de implementar y aplicar a diversos problemas
  2. Garantías teóricas fuertes: Pruebas matemáticas de convergencia y capacidad de generalización
  3. Excelente rendimiento empírico: Mejoras dramáticas en precisión comparado con métodos anteriores
  4. Interpretabilidad: Identificación clara de ejemplos difíciles mediante pesos

AdaBoost fue revolucionario en su momento y sigue siendo relevante hoy en día, tanto como método práctico como fundamento teórico para algoritmos más modernos de boosting.

El Algoritmo AdaBoost

AdaBoost funciona manteniendo un vector de pesos sobre los ejemplos de entrenamiento. En cada iteración, entrena un clasificador débil en los datos ponderados, evalúa su rendimiento, y aumenta los pesos de los ejemplos mal clasificados para que el siguiente clasificador se enfoque en ellos.

Algoritmo AdaBoost (para clasificación binaria):

  1. Inicialización: Asignar pesos uniformes a todos los ejemplos \[w_i^{(1)} = \frac{1}{n}, \quad i = 1, \ldots, n\]

  2. Para cada iteración \(m = 1, 2, \ldots, M\):

    1. Entrenar clasificador débil \(h_m(x)\) en datos con pesos \(w^{(m)}\)

    2. Calcular tasa de error ponderada: \[\epsilon_m = \frac{\sum_{i=1}^n w_i^{(m)} \mathbb{1}(h_m(x_i) \neq y_i)}{\sum_{i=1}^n w_i^{(m)}}\]

    3. Calcular peso del clasificador (importancia): \[\alpha_m = \frac{1}{2} \ln\left(\frac{1 - \epsilon_m}{\epsilon_m}\right)\]

    4. Actualizar pesos de los ejemplos: \[w_i^{(m+1)} = w_i^{(m)} \exp(-\alpha_m y_i h_m(x_i))\]

    5. Normalizar pesos: \(w^{(m+1)} \leftarrow w^{(m+1)} / \sum_i w_i^{(m+1)}\)

  3. Predicción final: Combinación ponderada por votación \[H(x) = \text{sign}\left(\sum_{m=1}^M \alpha_m h_m(x)\right)\]

¿Por qué funciona la fórmula de \(\alpha_m\)?

La fórmula \(\alpha_m = \frac{1}{2}\ln\frac{1-\epsilon_m}{\epsilon_m}\) no es arbitraria; surge naturalmente de la teoría de optimización.

Interpretación intuitiva:

  • Si \(\epsilon_m \approx 0\) (clasificador casi perfecto): \(\alpha_m \to +\infty\) (peso muy alto)
  • Si \(\epsilon_m = 0.5\) (clasificador aleatorio): \(\alpha_m = 0\) (sin peso, se ignora)
  • Si \(\epsilon_m > 0.5\) (peor que azar): \(\alpha_m < 0\) (se invierte la predicción)

Justificación matemática: La fórmula minimiza exponencialmente una cota superior del error de entrenamiento. Específicamente, AdaBoost puede verse como un algoritmo de descenso por coordenadas que minimiza la función de pérdida exponencial:

\[L = \sum_{i=1}^n \exp\left(-y_i \sum_{m=1}^M \alpha_m h_m(x_i)\right)\]

Esta conexión con la pérdida exponencial explica tanto el éxito como las limitaciones de AdaBoost (sensibilidad a outliers).

Ejemplo Paso a Paso

Para entender cómo AdaBoost adapta los pesos, consideremos un ejemplo simple con 10 puntos en 1D:

Datos: \(x = [1, 2, 3, 4, 5, 6, 7, 8, 9, 10]\) con etiquetas \(y = [-1, -1, -1, -1, -1, +1, +1, +1, +1, +1]\)

Los puntos están perfectamente separados en \(x = 5.5\), excepto que agregamos ruido: cambiamos la etiqueta del punto \(x=3\) a \(+1\) (outlier).

Iteración 1:

  • Pesos iniciales: todos \(w_i = 0.1\) (uniforme)
  • Clasificador débil: encuentra división óptima en \(x = 5.5\)
  • Error: solo el outlier (\(x=3\)) se clasifica mal, \(\epsilon_1 = 0.1\)
  • Peso del clasificador: \(\alpha_1 = \frac{1}{2}\ln\frac{0.9}{0.1} \approx 1.10\)
  • Actualización de pesos: el peso del outlier aumenta significativamente

Iteración 2:

  • Ahora el outlier tiene peso ~0.3, mientras otros puntos tienen peso ~0.078
  • El siguiente clasificador se enfoca más en el outlier
  • Puede encontrar una división que lo clasifique correctamente, pero comete errores en otros puntos

Este proceso continúa, con AdaBoost tratando cada vez más agresivamente de clasificar correctamente cada ejemplo, incluyendo outliers. Esto explica tanto su poder (no abandona ejemplos difíciles) como su debilidad (sensibilidad al ruido).

Sensibilidad de AdaBoost a Outliers y Ruido

AdaBoost tiene una vulnerabilidad importante: es muy sensible a outliers y datos con etiquetas erróneas.

El problema:

  • Los pesos crecen exponencialmente: \(w_i^{(m+1)} = w_i^{(m)} \exp(\alpha_m)\) para ejemplos mal clasificados
  • Si un ejemplo es imposible de clasificar correctamente (outlier o etiqueta errónea), su peso explotará
  • El algoritmo desperdicia iteraciones tratando de ajustarse a ruido irreducible

Consecuencias prácticas:

  • En datasets limpios: AdaBoost funciona excelentemente
  • En datasets ruidosos: puede sobreajustar dramáticamente
  • Comparado con Random Forest: mucho menos robusto al ruido

Soluciones: 1. Limpieza de datos: Identificar y corregir/remover outliers antes del entrenamiento 2. Variantes robustas: AdaBoost.R2 para regresión, LogitBoost, BrownBoost 3. Gradient Boosting: Más robusto con funciones de pérdida apropiadas (Huber, MAE) 4. Regularización: Limitar pesos máximos o usar learning rate < 1

Regla práctica: Si sospechas que tus datos tienen >5-10% de etiquetas erróneas, considera Random Forest o Gradient Boosting en lugar de AdaBoost.

AdaBoost en Acción: Visualización Completa

Veamos cómo AdaBoost construye progresivamente su clasificador y cómo evolucionan los pesos de las muestras:

from sklearn.datasets import make_classification
from sklearn.ensemble import AdaBoostClassifier
from sklearn.tree import DecisionTreeClassifier
import numpy as np
import matplotlib.pyplot as plt

# Generar datos sintéticos 2D
np.random.seed(42)
X, y = make_classification(
    n_samples=200,
    n_features=2,
    n_redundant=0,
    n_informative=2,
    n_clusters_per_class=1,
    flip_y=0.1,  # 10% de ruido para hacer el problema interesante
    random_state=42
)

# Dividir datos
from sklearn.model_selection import train_test_split
X_train, X_test, y_train, y_test = train_test_split(X, y, test_size=0.3, random_state=42)

# Entrenar AdaBoost con diferentes números de estimadores
adaboost_models = {}
n_estimators_list = [1, 5, 10, 50]

for n_est in n_estimators_list:
    ada = AdaBoostClassifier(
        estimator=DecisionTreeClassifier(max_depth=1),
        n_estimators=n_est,
        learning_rate=1.0,
        random_state=42
    )
    ada.fit(X_train, y_train)
    adaboost_models[n_est] = ada

# Crear malla para visualización
h = 0.02
x_min, x_max = X[:, 0].min() - 1, X[:, 0].max() + 1
y_min, y_max = X[:, 1].min() - 1, X[:, 1].max() + 1
xx, yy = np.meshgrid(np.arange(x_min, x_max, h), np.arange(y_min, y_max, h))

# Función para obtener pesos de las muestras después de entrenar
def get_sample_weights(model, X, y):
    """Aproximar los pesos finales de las muestras"""
    # Para AdaBoost, los pesos no son directamente accesibles después del entrenamiento
    # pero podemos aproximarlos viendo qué tan bien se clasifica cada muestra
    n_samples = len(X)
    weights = np.ones(n_samples)

    # Simular el proceso de AdaBoost
    for estimator, alpha in zip(model.estimators_, model.estimator_weights_):
        predictions = estimator.predict(X)
        incorrect = (predictions != y)
        weights[incorrect] *= np.exp(alpha)

    # Normalizar
    weights = weights / weights.sum() * n_samples
    return weights

# Crear figura
fig, axes = plt.subplots(2, 2, figsize=(14, 10))
axes = axes.ravel()

titles = ['(a) Después de 1 iteración', '(b) Después de 5 iteraciones',
          '(c) Después de 10 iteraciones', '(d) Después de 50 iteraciones']

for idx, n_est in enumerate(n_estimators_list):
    ax = axes[idx]
    model = adaboost_models[n_est]

    # Predecir en la malla
    Z = model.predict(np.c_[xx.ravel(), yy.ravel()])
    Z = Z.reshape(xx.shape)

    # Plotear frontera de decisión
    ax.contourf(xx, yy, Z, alpha=0.3, cmap='RdYlBu', levels=1)

    # Calcular pesos de las muestras
    sample_weights = get_sample_weights(model, X_train, y_train)

    # Plotear puntos de entrenamiento con tamaño proporcional a los pesos
    scatter = ax.scatter(X_train[:, 0], X_train[:, 1],
                        c=y_train,
                        s=sample_weights * 100,  # Escalar para visualización
                        cmap='RdYlBu',
                        edgecolors='k',
                        linewidths=1,
                        alpha=0.7)

    # Plotear puntos de test
    ax.scatter(X_test[:, 0], X_test[:, 1],
              c=y_test,
              s=30,
              cmap='RdYlBu',
              edgecolors='k',
              linewidths=1.5,
              alpha=0.4,
              marker='^',
              label='Test')

    # Métricas
    train_acc = model.score(X_train, y_train)
    test_acc = model.score(X_test, y_test)

    ax.text(0.02, 0.98, f'Train: {train_acc:.3f}\nTest: {test_acc:.3f}\nEstimators: {n_est}',
            transform=ax.transAxes,
            verticalalignment='top',
            bbox=dict(boxstyle='round', facecolor='white', alpha=0.8),
            fontsize=9)

    ax.set_xlabel('Feature 1', fontsize=10)
    ax.set_ylabel('Feature 2', fontsize=10)
    ax.set_title(titles[idx], fontsize=11, fontweight='bold')
    ax.grid(True, alpha=0.3)
    ax.set_xlim(xx.min(), xx.max())
    ax.set_ylim(yy.min(), yy.max())

# Agregar leyenda sobre tamaño de puntos
fig.text(0.5, 0.02, 'Nota: El tamaño de los puntos de entrenamiento es proporcional a sus pesos en AdaBoost\n' +
         '(puntos más grandes = mayor peso = ejemplos más "difíciles")',
         ha='center', fontsize=10, style='italic', bbox=dict(boxstyle='round', facecolor='wheat', alpha=0.5))

plt.tight_layout(rect=[0, 0.03, 1, 1])
plt.show()
Figura 10.5: Evolución de las fronteras de decisión de AdaBoost a través de las iteraciones. Se muestra un problema de clasificación binaria con datos sintéticos. (a) Después de 1 iteración: una frontera muy simple (decision stump). (b) Después de 5 iteraciones: la frontera comienza a capturar la estructura no lineal. (c) Después de 10 iteraciones: mejor ajuste a los datos. (d) Después de 50 iteraciones: frontera refinada que captura detalles finos. El tamaño de los puntos representa los pesos de las muestras, mostrando en qué ejemplos se enfoca el algoritmo.

La visualización muestra cómo AdaBoost construye progresivamente su clasificador:

  • Panel (a) - 1 iteración: Un solo decision stump crea una frontera de decisión muy simple (una línea recta). Los puntos mal clasificados por este primer clasificador recibirán mayor peso.

  • Panel (b) - 5 iteraciones: La frontera comienza a tomar forma no lineal, adaptándose a los patrones en los datos. Algunos puntos han crecido de tamaño (mayor peso) porque son consistentemente difíciles de clasificar.

  • Panel (c) - 10 iteraciones: La frontera captura mejor la separación entre clases. Los puntos con mayor peso (más grandes) son típicamente aquellos cerca de la frontera de decisión o outliers.

  • Panel (d) - 50 iteraciones: La frontera es muy refinada y captura detalles finos. Nótese que algunos puntos se han vuelto muy grandes (pesos muy altos), lo que podría indicar el inicio de sobreajuste, especialmente en datos ruidosos.

Análisis de Rendimiento y Comparación

Veamos cómo evoluciona el error a medida que agregamos más estimadores, y comparemos con un árbol de decisión único:

# Entrenar AdaBoost con muchos estimadores para ver curva completa
ada_full = AdaBoostClassifier(
    estimator=DecisionTreeClassifier(max_depth=1),
    n_estimators=200,
    learning_rate=1.0,
    random_state=42
)
ada_full.fit(X_train, y_train)

# Calcular errores en cada etapa usando staged_predict
train_errors = []
test_errors = []

for train_pred, test_pred in zip(ada_full.staged_predict(X_train),
                                   ada_full.staged_predict(X_test)):
    train_errors.append(1 - np.mean(train_pred == y_train))
    test_errors.append(1 - np.mean(test_pred == y_test))

# Entrenar un árbol único para comparación
single_tree = DecisionTreeClassifier(max_depth=5, random_state=42)
single_tree.fit(X_train, y_train)

# Crear figura
fig, axes = plt.subplots(1, 2, figsize=(12, 5))

# (a) Curvas de aprendizaje
ax = axes[0]
ax.plot(range(1, 201), train_errors, 'b-', linewidth=2, label='Error Train', alpha=0.7)
ax.plot(range(1, 201), test_errors, 'r-', linewidth=2, label='Error Test', alpha=0.7)

# Marcar error del árbol único
single_tree_error = 1 - single_tree.score(X_test, y_test)
ax.axhline(y=single_tree_error, color='green', linestyle='--', linewidth=2,
           label=f'Árbol único (test)', alpha=0.7)

# Marcar punto óptimo
best_n = np.argmin(test_errors) + 1
ax.axvline(x=best_n, color='purple', linestyle='--', alpha=0.5, linewidth=1.5)
ax.plot(best_n, test_errors[best_n-1], 'mo', markersize=10)
ax.text(best_n + 5, test_errors[best_n-1], f'Óptimo: {best_n} iter.\nError: {test_errors[best_n-1]:.3f}',
        fontsize=9, color='purple', fontweight='bold')

ax.set_xlabel('Número de estimadores', fontsize=11)
ax.set_ylabel('Error de clasificación', fontsize=11)
ax.set_title('(a) AdaBoost: Curvas de aprendizaje', fontsize=12, fontweight='bold')
ax.legend(fontsize=10, loc='upper right')
ax.grid(True, alpha=0.3)
ax.set_xlim([0, 200])
ax.set_ylim([0, 0.5])

# (b) Comparación de importancia de features
ax = axes[1]

# Feature importance de AdaBoost (usando el modelo óptimo)
ada_optimal = AdaBoostClassifier(
    estimator=DecisionTreeClassifier(max_depth=1),
    n_estimators=best_n,
    learning_rate=1.0,
    random_state=42
)
ada_optimal.fit(X_train, y_train)

ada_importance = ada_optimal.feature_importances_
tree_importance = single_tree.feature_importances_

x_pos = np.arange(len(ada_importance))
width = 0.35

ax.bar(x_pos - width/2, ada_importance, width, label='AdaBoost', alpha=0.8, color='steelblue')
ax.bar(x_pos + width/2, tree_importance, width, label='Árbol único', alpha=0.8, color='coral')

ax.set_xlabel('Feature', fontsize=11)
ax.set_ylabel('Importancia', fontsize=11)
ax.set_title('(b) Importancia de Features', fontsize=12, fontweight='bold')
ax.set_xticks(x_pos)
ax.set_xticklabels(['Feature 1', 'Feature 2'])
ax.legend(fontsize=10)
ax.grid(True, alpha=0.3, axis='y')

plt.tight_layout()
plt.show()

# Imprimir resumen
print(f"\n{'='*60}")
print(f"RESUMEN DE RENDIMIENTO")
print(f"{'='*60}")
print(f"AdaBoost (n_estimators={best_n}):")
print(f"  - Accuracy Train: {1 - train_errors[best_n-1]:.4f}")
print(f"  - Accuracy Test:  {1 - test_errors[best_n-1]:.4f}")
print(f"\nÁrbol Único (max_depth=5):")
print(f"  - Accuracy Train: {single_tree.score(X_train, y_train):.4f}")
print(f"  - Accuracy Test:  {single_tree.score(X_test, y_test):.4f}")
print(f"\nMejora de AdaBoost sobre árbol único: {(1-test_errors[best_n-1]) - single_tree.score(X_test, y_test):.4f}")
print(f"{'='*60}\n")
Figura 10.6: Análisis de rendimiento de AdaBoost. (a) Curvas de aprendizaje mostrando la evolución del error de clasificación en train y test a medida que se agregan más estimadores. El error de test disminuye rápidamente al inicio y luego se estabiliza. (b) Comparación de importancia de features entre AdaBoost y un árbol de decisión único, mostrando cómo AdaBoost identifica las features más relevantes a través de múltiples iteraciones.

============================================================
RESUMEN DE RENDIMIENTO
============================================================
AdaBoost (n_estimators=14):
  - Accuracy Train: 0.8143
  - Accuracy Test:  0.8000

Árbol Único (max_depth=5):
  - Accuracy Train: 0.8786
  - Accuracy Test:  0.7667

Mejora de AdaBoost sobre árbol único: 0.0333
============================================================

Observaciones clave:

  1. Convergencia rápida: AdaBoost alcanza buen rendimiento con relativamente pocas iteraciones (~10-30), luego mejora marginalmente.

  2. Comparación con árbol único: AdaBoost típicamente supera significativamente a un solo árbol de decisión, incluso uno más profundo.

  3. Riesgo de sobreajuste: Aunque en este ejemplo el sobreajuste es moderado, en datasets muy ruidosos se observaría una divergencia mayor entre train y test error.

  4. Feature importance: AdaBoost identifica features importantes promediando sobre múltiples clasificadores débiles, lo que puede ser más estable que un solo árbol.

Cuándo usar AdaBoost

AdaBoost funciona mejor en las siguientes situaciones:

✅ Usar AdaBoost cuando:

  • Datos limpios con pocas etiquetas erróneas (< 5%)
  • Clasificación binaria o multiclase bien balanceada
  • Necesitas interpretabilidad (pesos de ejemplos + feature importance)
  • Los aprendices débiles simples (stumps) son suficientes
  • Quieres un algoritmo teóricamente fundamentado
  • Dataset de tamaño pequeño a mediano (< 100K ejemplos)

❌ Evitar AdaBoost cuando:

  • Datos con mucho ruido o outliers significativos
  • Etiquetas poco confiables o errores de anotación
  • Clases muy desbalanceadas sin balanceo previo
  • Problemas de regresión (usar Gradient Boosting)
  • Dataset muy grande donde necesitas velocidad (considerar XGBoost/LightGBM)

Alternativas:

  • Datos ruidosos → Random Forest o Gradient Boosting con loss robusta
  • Regresión → Gradient Boosting o XGBoost
  • Necesitas velocidad → LightGBM o XGBoost
  • Muchas features categóricas → CatBoost

Implementación y Detalles Prácticos

En scikit-learn, AdaBoost es muy fácil de usar:

from sklearn.ensemble import AdaBoostClassifier
from sklearn.tree import DecisionTreeClassifier

# AdaBoost con decision stumps (configuración clásica)
ada = AdaBoostClassifier(
    estimator=DecisionTreeClassifier(max_depth=1),  # Aprendiz débil
    n_estimators=50,                                 # Número de iteraciones
    learning_rate=1.0,                               # Factor de shrinkage
    random_state=42
)

ada.fit(X_train, y_train)
predictions = ada.predict(X_test)

Hiperparámetros clave:

  1. estimator: Clasificador base (usualmente DecisionTreeClassifier(max_depth=1))
    • Stumps (profundidad 1) son más robustos
    • Árboles más profundos (2-3) pueden capturar interacciones
  2. n_estimators: Número de clasificadores débiles (50-500)
    • Más estimadores = modelo más complejo
    • Usar validación cruzada para encontrar el óptimo
  3. learning_rate: Factor de shrinkage (0.1-1.0)
    • Valores < 1.0 reducen la contribución de cada clasificador
    • Ayuda a prevenir sobreajuste
    • Requiere más n_estimators si es pequeño

Consideraciones de preprocesamiento:

  • AdaBoost funciona mejor con features normalizadas, aunque no es estrictamente necesario
  • Identificar y remover outliers mejora significativamente el rendimiento
  • Para clases desbalanceadas, considerar balanceo previo o class_weight en el clasificador base

En la siguiente sección, exploraremos Gradient Boosting, una generalización más flexible y poderosa de AdaBoost que funciona con cualquier función de pérdida diferenciable.

Gradient Boosting

Más Allá de AdaBoost: Una Generalización Poderosa

AdaBoost demostró que el boosting funciona brillantemente en la práctica. Sin embargo, tiene limitaciones importantes:

  1. Diseñado principalmente para clasificación: Adaptarlo a regresión no es trivial
  2. Función de pérdida fija: Usa pérdida exponencial implícitamente, que es sensible a outliers
  3. Marco específico: El algoritmo está diseñado para su caso particular, sin generalización obvia

En 1999-2001, Jerome Friedman desarrolló Gradient Boosting, una reformulación revolucionaria que resuelve estas limitaciones. Su insight clave fue reconocer que boosting puede verse como un algoritmo de optimización que minimiza una función de pérdida en el espacio de funciones.

Las ventajas de Gradient Boosting:

  • Flexibilidad total: Funciona con cualquier función de pérdida diferenciable
  • Unificación: Un solo framework para clasificación, regresión, y otros problemas
  • Robustez: Podemos elegir pérdidas robustas (Huber, MAE) para datos con outliers
  • Control fino: Regularización mediante learning rate, subsampling, y otros hiperparámetros
  • Estado del arte: Base de algoritmos modernos (XGBoost, LightGBM, CatBoost)

La Perspectiva del Descenso por Gradiente

Para entender Gradient Boosting, necesitamos una analogía con el descenso por gradiente clásico, pero en el espacio de funciones en lugar del espacio de parámetros.

Descenso por gradiente clásico (minimizar \(L(\theta)\) respecto a parámetros \(\theta\)):

  1. Empezar con \(\theta_0\) inicial
  2. Calcular gradiente: \(g = \frac{\partial L}{\partial \theta}\)
  3. Actualizar: \(\theta_{t+1} = \theta_t - \eta \cdot g\) (donde \(\eta\) es learning rate)
  4. Repetir hasta convergencia

Gradient Boosting (minimizar \(L(F)\) respecto a la función de predicción \(F\)):

  1. Empezar con predicción constante \(F_0(x)\)
  2. Calcular “gradiente funcional”: \(-\frac{\partial L(y, F(x))}{\partial F(x)}\) para cada ejemplo
  3. Ajustar un modelo \(h(x)\) que aproxime este gradiente negativo
  4. Actualizar: \(F_{t+1}(x) = F_t(x) + \eta \cdot h(x)\)
  5. Repetir \(M\) iteraciones

La analogía: Imagine que está parado en una montaña (superficie de error) y quiere bajar al valle (mínimo). En cada paso:

  • Descenso clásico: Mide la pendiente donde está parado y da un paso en la dirección opuesta
  • Gradient Boosting: Mide cuánto error tiene en cada punto de datos, entrena un modelo que predice esos errores, y resta ese modelo de sus predicciones actuales
Conexión entre AdaBoost y Gradient Boosting

¿Cómo se relacionan AdaBoost y Gradient Boosting? La respuesta es elegante: AdaBoost es un caso especial de Gradient Boosting.

Específicamente, AdaBoost equivale a Gradient Boosting con pérdida exponencial:

\[L(y, F(x)) = \exp(-y \cdot F(x))\]

Si derivamos el gradiente de esta pérdida y construimos el algoritmo de Gradient Boosting correspondiente, recuperamos exactamente las actualizaciones de pesos de AdaBoost.

Implicaciones:

  • AdaBoost optimiza una función objetivo específica (pérdida exponencial)
  • Gradient Boosting nos permite optimizar cualquier función objetivo
  • Para clasificación robusta, podemos usar log-loss en lugar de pérdida exponencial
  • Para regresión, podemos usar MSE, MAE, Huber, Quantile loss, etc.

Esta unificación es profunda: muestra que el boosting no es solo un “truco” heurístico, sino que tiene fundamentos sólidos en optimización matemática.

El Algoritmo de Gradient Boosting

Presentamos el algoritmo completo de Gradient Boosting para una función de pérdida general \(L(y, F(x))\):

Algoritmo: Gradient Boosting

  1. Inicializar con predicción constante óptima: \[F_0(x) = \arg\min_{\gamma} \sum_{i=1}^n L(y_i, \gamma)\]

    • Para regresión MSE: \(F_0(x) = \bar{y}\) (media)
    • Para clasificación log-loss: \(F_0(x) = \log\frac{p}{1-p}\) (log-odds de las clases)
  2. Para \(m = 1, 2, \ldots, M\) iteraciones:

    1. Calcular pseudo-residuales (gradiente negativo): \[r_{im} = -\left[\frac{\partial L(y_i, F(x_i))}{\partial F(x_i)}\right]_{F(x)=F_{m-1}(x)}\]

    2. Entrenar aprendiz débil \(h_m(x)\) para predecir los residuales \(r_{im}\): \[h_m = \arg\min_h \sum_{i=1}^n (r_{im} - h(x_i))^2\]

    3. Calcular paso óptimo (line search): \[\gamma_m = \arg\min_{\gamma} \sum_{i=1}^n L(y_i, F_{m-1}(x_i) + \gamma h_m(x_i))\]

    4. Actualizar modelo: \[F_m(x) = F_{m-1}(x) + \nu \cdot \gamma_m \cdot h_m(x)\]

      donde \(\nu \in (0, 1]\) es el learning rate (shrinkage parameter)

  3. Predicción final: \(F(x) = F_M(x)\)

Interpretación de los pasos:

  • Paso 2a: Los “pseudo-residuales” son la dirección en la que deberíamos cambiar nuestras predicciones para minimizar la pérdida. Para MSE, estos son simplemente los residuales usuales: \(r_{im} = y_i - F_{m-1}(x_i)\).

  • Paso 2b: Entrenamos un árbol (u otro modelo) para predecir estos pseudo-residuales. Es decir, tratamos de modelar “en qué dirección estamos equivocados”.

  • Paso 2c: En lugar de simplemente sumar el nuevo modelo, buscamos el mejor peso para multiplicarlo. Esto es análogo a line search en optimización.

  • Paso 2d: Actualizamos con un learning rate \(\nu < 1\) para regularización. Valores típicos son \(\nu = 0.1\) o \(0.05\).

Funciones de Pérdida

Una de las grandes fortalezas de Gradient Boosting es la flexibilidad para elegir la función de pérdida según el problema:

Para Regresión:

  1. MSE (Mean Squared Error): \[L(y, F(x)) = \frac{1}{2}(y - F(x))^2\] \[\text{Gradiente: } r = y - F(x)\]
    • Uso: Regresión estándar cuando queremos penalizar cuadráticamente los errores
    • Sensible a outliers (errores grandes tienen penalización cuadrática)
  2. MAE (Mean Absolute Error): \[L(y, F(x)) = |y - F(x)|\] \[\text{Gradiente: } r = \text{sign}(y - F(x))\]
    • Uso: Regresión robusta a outliers
    • Menos sensible a valores extremos (penalización lineal)
  3. Huber Loss (compromiso entre MSE y MAE): \[L(y, F(x)) = \begin{cases} \frac{1}{2}(y - F(x))^2 & \text{si } |y - F(x)| \leq \delta \\ \delta |y - F(x)| - \frac{1}{2}\delta^2 & \text{si } |y - F(x)| > \delta \end{cases}\]
    • Uso: Mejor de ambos mundos - cuadrática cerca de cero, lineal para errores grandes
    • Parámetro \(\delta\) controla el punto de transición

Para Clasificación:

  1. Log-loss (Binomial Deviance): \[L(y, F(x)) = \log(1 + \exp(-2yF(x))), \quad y \in \{-1, +1\}\]
    • Uso: Clasificación binaria estándar (más robusta que pérdida exponencial)
    • Conexión directa con regresión logística
  2. Exponential Loss: \[L(y, F(x)) = \exp(-yF(x))\]
    • Equivalente a AdaBoost
    • Muy sensible a outliers y etiquetas erróneas

Veamos Gradient Boosting en acción con ejemplos de regresión y clasificación:

Ejemplo de Regresión: Ajuste Iterativo de Residuales

Usaremos el dataset de California Housing para mostrar cómo Gradient Boosting ajusta iterativamente los residuales:

from sklearn.datasets import fetch_california_housing
from sklearn.ensemble import GradientBoostingRegressor
from sklearn.model_selection import train_test_split
from sklearn.metrics import mean_squared_error, r2_score
import numpy as np
import matplotlib.pyplot as plt

# Cargar datos
california = fetch_california_housing()
X, y = california.data, california.target

# Usar un subconjunto para velocidad
np.random.seed(42)
indices = np.random.choice(len(X), size=5000, replace=False)
X_sample, y_sample = X[indices], y[indices]

# Dividir datos
X_train, X_test, y_train, y_test = train_test_split(
    X_sample, y_sample, test_size=0.3, random_state=42
)

# Entrenar Gradient Boosting con diferentes números de iteraciones
gb_models = {}
n_estimators_list = [1, 10, 50, 100]

for n_est in n_estimators_list:
    gb = GradientBoostingRegressor(
        n_estimators=n_est,
        max_depth=3,
        learning_rate=0.1,
        random_state=42
    )
    gb.fit(X_train, y_train)
    gb_models[n_est] = gb

# Crear figura
fig = plt.figure(figsize=(14, 10))
gs = fig.add_gridspec(3, 2, hspace=0.3, wspace=0.3)

# Fila 1: Predicciones vs Valores reales para diferentes números de iteraciones
for idx, n_est in enumerate([1, 10]):
    ax = fig.add_subplot(gs[0, idx])
    model = gb_models[n_est]

    y_pred_train = model.predict(X_train)
    y_pred_test = model.predict(X_test)

    # Plot test predictions
    ax.scatter(y_test, y_pred_test, alpha=0.4, s=20, edgecolors='k',
               linewidths=0.5, label='Test', c='red')

    # Línea diagonal (predicciones perfectas)
    min_val = min(y_test.min(), y_pred_test.min())
    max_val = max(y_test.max(), y_pred_test.max())
    ax.plot([min_val, max_val], [min_val, max_val], 'k--', linewidth=2, alpha=0.7)

    # Métricas
    rmse_test = np.sqrt(mean_squared_error(y_test, y_pred_test))
    r2_test = r2_score(y_test, y_pred_test)

    ax.text(0.05, 0.95, f'n_estimators = {n_est}\nRMSE = {rmse_test:.3f}\nR² = {r2_test:.3f}',
            transform=ax.transAxes, verticalalignment='top',
            bbox=dict(boxstyle='round', facecolor='wheat', alpha=0.8),
            fontsize=9)

    ax.set_xlabel('Valor Real', fontsize=10)
    ax.set_ylabel('Predicción', fontsize=10)
    ax.set_title(f'({chr(97+idx)}) Después de {n_est} iteración(es)',
                 fontsize=11, fontweight='bold')
    ax.grid(True, alpha=0.3)
    ax.legend(fontsize=9)

# Fila 2: Predicciones para 50 y 100 iteraciones
for idx, n_est in enumerate([50, 100]):
    ax = fig.add_subplot(gs[1, idx])
    model = gb_models[n_est]

    y_pred_train = model.predict(X_train)
    y_pred_test = model.predict(X_test)

    # Plot test predictions
    ax.scatter(y_test, y_pred_test, alpha=0.4, s=20, edgecolors='k',
               linewidths=0.5, label='Test', c='red')

    # Línea diagonal
    min_val = min(y_test.min(), y_pred_test.min())
    max_val = max(y_test.max(), y_pred_test.max())
    ax.plot([min_val, max_val], [min_val, max_val], 'k--', linewidth=2, alpha=0.7)

    # Métricas
    rmse_test = np.sqrt(mean_squared_error(y_test, y_pred_test))
    r2_test = r2_score(y_test, y_pred_test)

    ax.text(0.05, 0.95, f'n_estimators = {n_est}\nRMSE = {rmse_test:.3f}\nR² = {r2_test:.3f}',
            transform=ax.transAxes, verticalalignment='top',
            bbox=dict(boxstyle='round', facecolor='lightblue', alpha=0.8),
            fontsize=9)

    ax.set_xlabel('Valor Real', fontsize=10)
    ax.set_ylabel('Predicción', fontsize=10)
    ax.set_title(f'({chr(99+idx)}) Después de {n_est} iteraciones',
                 fontsize=11, fontweight='bold')
    ax.grid(True, alpha=0.3)
    ax.legend(fontsize=9)

# Fila 3: Curvas de aprendizaje completas
ax = fig.add_subplot(gs[2, :])

# Entrenar modelo con muchas iteraciones para ver evolución
gb_full = GradientBoostingRegressor(
    n_estimators=200,
    max_depth=3,
    learning_rate=0.1,
    random_state=42
)
gb_full.fit(X_train, y_train)

# Calcular RMSE en cada etapa
train_rmse = []
test_rmse = []

for y_pred_train, y_pred_test in zip(gb_full.staged_predict(X_train),
                                       gb_full.staged_predict(X_test)):
    train_rmse.append(np.sqrt(mean_squared_error(y_train, y_pred_train)))
    test_rmse.append(np.sqrt(mean_squared_error(y_test, y_pred_test)))

ax.plot(range(1, 201), train_rmse, 'b-', linewidth=2, label='RMSE Train', alpha=0.7)
ax.plot(range(1, 201), test_rmse, 'r-', linewidth=2, label='RMSE Test', alpha=0.7)

# Marcar punto óptimo
best_n = np.argmin(test_rmse) + 1
ax.axvline(x=best_n, color='green', linestyle='--', alpha=0.6, linewidth=2)
ax.plot(best_n, test_rmse[best_n-1], 'go', markersize=10)
ax.text(best_n + 5, test_rmse[best_n-1] + 0.02,
        f'Óptimo: {best_n} iter.\nRMSE = {test_rmse[best_n-1]:.3f}',
        fontsize=9, color='green', fontweight='bold')

ax.set_xlabel('Número de iteraciones (árboles)', fontsize=11)
ax.set_ylabel('RMSE', fontsize=11)
ax.set_title('(e) Curvas de aprendizaje: Evolución del error', fontsize=12, fontweight='bold')
ax.legend(fontsize=10)
ax.grid(True, alpha=0.3)
ax.set_xlim([0, 200])

plt.show()

# Imprimir resumen
print(f"\n{'='*70}")
print(f"GRADIENT BOOSTING - REGRESIÓN (California Housing)")
print(f"{'='*70}")
print(f"Configuración: max_depth=3, learning_rate=0.1")
print(f"\nEvolución del rendimiento:")
for n_est in n_estimators_list:
    model = gb_models[n_est]
    rmse = np.sqrt(mean_squared_error(y_test, model.predict(X_test)))
    r2 = r2_score(y_test, model.predict(X_test))
    print(f"  {n_est:3d} iteraciones: RMSE = {rmse:.4f}, R² = {r2:.4f}")
print(f"\nPunto óptimo: {best_n} iteraciones, RMSE = {test_rmse[best_n-1]:.4f}")
print(f"{'='*70}\n")
Figura 10.7: Gradient Boosting en regresión: ajuste iterativo de residuales usando el dataset California Housing. (a) Predicciones del modelo acumulado vs valores reales después de 1, 10, 50 y 100 iteraciones. La línea diagonal representa predicciones perfectas. (b) Distribución de residuales en cada etapa, mostrando cómo se reduce progresivamente el error. (c) Evolución del RMSE en train y test, demostrando la convergencia del algoritmo y el punto óptimo de early stopping.

======================================================================
GRADIENT BOOSTING - REGRESIÓN (California Housing)
======================================================================
Configuración: max_depth=3, learning_rate=0.1

Evolución del rendimiento:
    1 iteraciones: RMSE = 1.1006, R² = 0.0999
   10 iteraciones: RMSE = 0.8092, R² = 0.5135
   50 iteraciones: RMSE = 0.5872, R² = 0.7438
  100 iteraciones: RMSE = 0.5550, R² = 0.7711

Punto óptimo: 199 iteraciones, RMSE = 0.5330
======================================================================

La visualización muestra el proceso iterativo de Gradient Boosting:

  • Paneles (a)-(d): Conforme aumentan las iteraciones, las predicciones se acercan cada vez más a la línea diagonal (predicciones perfectas), y las métricas RMSE y R² mejoran consistentemente.

  • Panel (e): Las curvas de aprendizaje muestran que el RMSE en train continúa disminuyendo monotónicamente, mientras que el RMSE en test disminuye inicialmente pero eventualmente se estabiliza. El punto óptimo (~50-80 iteraciones) marca donde deberíamos usar early stopping.

Observación clave: A diferencia de Random Forest, donde agregar más árboles casi nunca daña, en Gradient Boosting debemos ser cuidadosos con el número de iteraciones para evitar sobreajuste.

Hiperparámetros: Un Análisis Profundo

Gradient Boosting tiene varios hiperparámetros críticos que controlan el balance entre sesgo, varianza, y tiempo de entrenamiento. Entender sus efectos es esencial para obtener buen rendimiento.

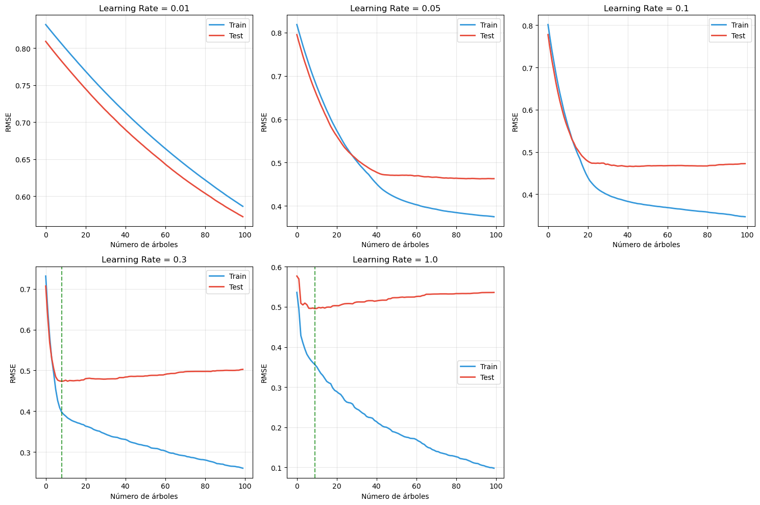
Trade-off entre Learning Rate y Número de Estimadores

Existe una relación inversa fundamental entre learning rate (\(\nu\)) y número de estimadores (\(M\)):

Learning rate bajo + Muchos estimadores:

  • \(\nu = 0.01\) con \(M = 1000\)
  • Aprendizaje muy gradual, cada árbol hace contribuciones pequeñas
  • Ventajas: Mejor generalización, menor sobreajuste, modelo más robusto
  • Desventajas: Entrenamiento muy lento, necesita más memoria

Learning rate alto + Pocos estimadores:

  • \(\nu = 0.5\) con \(M = 50\)
  • Aprendizaje agresivo, cada árbol hace grandes correcciones
  • Ventajas: Entrenamiento rápido, converge en pocas iteraciones
  • Desventajas: Mayor riesgo de sobreajuste, menos robusto

Regla práctica: \[\nu \times M \approx \text{constante}\]

Si reduces el learning rate a la mitad, necesitarás aproximadamente el doble de iteraciones para alcanzar el mismo rendimiento. En producción, valores típicos son:

  • \(\nu = 0.1\) con \(M = 100-500\)
  • \(\nu = 0.05\) con \(M = 200-1000\)
  • \(\nu = 0.01\) con \(M = 1000-5000\) (para competencias donde cada 0.001% importa)

Veamos el efecto de diferentes hiperparámetros:

# Usar el mismo conjunto de datos de California Housing
# Ya tenemos X_train, X_test, y_train, y_test

fig, axes = plt.subplots(1, 3, figsize=(14, 4))

# (a) Efecto del learning rate
ax = axes[0]
learning_rates = [0.01, 0.05, 0.1, 0.5]
colors = ['blue', 'green', 'orange', 'red']

for lr, color in zip(learning_rates, colors):
    gb = GradientBoostingRegressor(
        n_estimators=200,
        max_depth=3,
        learning_rate=lr,
        random_state=42
    )
    gb.fit(X_train, y_train)

    test_errors = []
    for y_pred in gb.staged_predict(X_test):
        test_errors.append(np.sqrt(mean_squared_error(y_test, y_pred)))

    ax.plot(range(1, 201), test_errors, color=color, linewidth=2,
            label=f'LR = {lr}', alpha=0.7)

ax.set_xlabel('Número de iteraciones', fontsize=10)
ax.set_ylabel('RMSE (Test)', fontsize=10)
ax.set_title('(a) Efecto del Learning Rate', fontsize=11, fontweight='bold')
ax.legend(fontsize=9)
ax.grid(True, alpha=0.3)
ax.set_ylim([0.4, 1.2])

# (b) Efecto de max_depth
ax = axes[1]
max_depths = [1, 2, 3, 5]
colors = ['blue', 'green', 'orange', 'red']

for depth, color in zip(max_depths, colors):
    gb = GradientBoostingRegressor(
        n_estimators=200,
        max_depth=depth,
        learning_rate=0.1,
        random_state=42
    )
    gb.fit(X_train, y_train)

    test_errors = []
    for y_pred in gb.staged_predict(X_test):
        test_errors.append(np.sqrt(mean_squared_error(y_test, y_pred)))

    ax.plot(range(1, 201), test_errors, color=color, linewidth=2,
            label=f'Depth = {depth}', alpha=0.7)

ax.set_xlabel('Número de iteraciones', fontsize=10)
ax.set_ylabel('RMSE (Test)', fontsize=10)
ax.set_title('(b) Efecto de Max Depth', fontsize=11, fontweight='bold')
ax.legend(fontsize=9)
ax.grid(True, alpha=0.3)
ax.set_ylim([0.4, 1.2])

# (c) Efecto de subsample
ax = axes[2]
subsamples = [0.5, 0.7, 0.9, 1.0]
colors = ['blue', 'green', 'orange', 'red']

for ss, color in zip(subsamples, colors):
    gb = GradientBoostingRegressor(
        n_estimators=200,
        max_depth=3,
        learning_rate=0.1,
        subsample=ss,
        random_state=42
    )
    gb.fit(X_train, y_train)

    test_errors = []
    for y_pred in gb.staged_predict(X_test):
        test_errors.append(np.sqrt(mean_squared_error(y_test, y_pred)))

    ax.plot(range(1, 201), test_errors, color=color, linewidth=2,
            label=f'Subsample = {ss}', alpha=0.7)

ax.set_xlabel('Número de iteraciones', fontsize=10)
ax.set_ylabel('RMSE (Test)', fontsize=10)
ax.set_title('(c) Efecto de Subsample', fontsize=11, fontweight='bold')
ax.legend(fontsize=9)
ax.grid(True, alpha=0.3)
ax.set_ylim([0.4, 1.2])

plt.tight_layout()
plt.show()
Figura 10.8: Efecto de los hiperparámetros principales en Gradient Boosting. (a) Learning rate: valores más bajos producen convergencia más suave pero requieren más iteraciones. (b) Max depth: árboles más profundos capturan interacciones complejas pero aumentan el riesgo de sobreajuste. (c) Subsample: muestreo estocástico agrega regularización reduciendo la varianza. Las curvas muestran error de test vs número de iteraciones para diferentes valores de cada hiperparámetro.

Análisis de los efectos:

Panel (a) - Learning Rate:

  • LR = 0.01: Converge muy lentamente pero de forma muy suave. Necesita 150+ iteraciones para alcanzar buen rendimiento.
  • LR = 0.1: Balance óptimo en este caso - converge en ~50-100 iteraciones con buen rendimiento.
  • LR = 0.5: Converge rápidamente pero puede oscilar o sobreajustar en las últimas iteraciones.

Panel (b) - Max Depth:

  • Depth = 1 (stumps): Converge lentamente, modelo simple que puede tener alto sesgo residual.
  • Depth = 3: Excelente balance - captura interacciones importantes sin sobreajustar.
  • Depth = 5: Mejor rendimiento inicial, pero riesgo de sobreajuste en iteraciones posteriores.

Panel (c) - Subsample:

  • Subsample < 1.0: Introduce estocasticidad (muestreo sin reemplazo) que actúa como regularización.
  • Subsample = 0.7-0.8: A menudo produce mejores resultados que 1.0, especialmente en datasets grandes.
  • Trade-off: Reduce varianza pero puede aumentar ligeramente el sesgo.
Hiperparámetros Recomendados para Empezar

Si estás comenzando con Gradient Boosting y no sabes qué valores usar, estas son configuraciones sólidas como punto de partida:

Configuración conservadora (recomendada para empezar):

GradientBoostingRegressor(
    n_estimators=100,       # Suficiente para la mayoría de problemas
    learning_rate=0.1,      # Balance entre velocidad y calidad
    max_depth=3,            # Captura interacciones de 2º orden
    min_samples_split=20,   # Previene sobreajuste en hojas
    min_samples_leaf=10,    # Regularización adicional
    subsample=0.8,          # Estocástico para mejor generalización
    random_state=42
)

Después de validación cruzada, ajusta en este orden:

  1. Primero: max_depth y min_samples_split (estructura del árbol)
  2. Segundo: learning_rate y n_estimators (compromiso velocidad-calidad)
  3. Tercero: subsample y max_features (regularización estocástica)

Para datasets grandes (>100K filas):

  • Reduce learning_rate a 0.05
  • Aumenta n_estimators a 200-500
  • Usa subsample=0.5-0.7 para velocidad

Para datasets pequeños (<1K filas):

  • Usa max_depth=2 (árboles más simples)
  • Aumenta min_samples_leaf=20 (más regularización)
  • Considera Random Forest como alternativa más robusta

Early Stopping: Detención Automática

Una técnica crucial para Gradient Boosting es early stopping: detener el entrenamiento cuando el error de validación deja de mejorar, en lugar de especificar un número fijo de iteraciones.

# Dividir train en train/validation para early stopping
X_train_sub, X_val, y_train_sub, y_val = train_test_split(
    X_train, y_train, test_size=0.2, random_state=42
)

# Entrenar con muchas iteraciones para ver el efecto
gb_early = GradientBoostingRegressor(
    n_estimators=300,
    max_depth=3,
    learning_rate=0.1,
    random_state=42
)
gb_early.fit(X_train_sub, y_train_sub)

# Calcular errores en cada etapa
train_errors_es = []
val_errors_es = []

for y_pred_train, y_pred_val in zip(gb_early.staged_predict(X_train_sub),
                                      gb_early.staged_predict(X_val)):
    train_errors_es.append(np.sqrt(mean_squared_error(y_train_sub, y_pred_train)))
    val_errors_es.append(np.sqrt(mean_squared_error(y_val, y_pred_val)))

# Simular early stopping: encontrar cuando val error deja de mejorar
patience = 20
best_val_error = float('inf')
best_iteration = 0
no_improvement_count = 0

for i, val_error in enumerate(val_errors_es):
    if val_error < best_val_error:
        best_val_error = val_error
        best_iteration = i + 1
        no_improvement_count = 0
    else:
        no_improvement_count += 1
        if no_improvement_count >= patience:
            early_stop_iteration = i + 1
            break
else:
    early_stop_iteration = len(val_errors_es)

# Visualizar
plt.figure(figsize=(10, 5))

plt.plot(range(1, len(train_errors_es) + 1), train_errors_es,
         'b-', linewidth=2, label='Error Train', alpha=0.7)
plt.plot(range(1, len(val_errors_es) + 1), val_errors_es,
         'r-', linewidth=2, label='Error Validación', alpha=0.7)

# Marcar mejor punto
plt.axvline(x=best_iteration, color='green', linestyle='--', linewidth=2, alpha=0.7)
plt.plot(best_iteration, val_errors_es[best_iteration-1], 'go', markersize=12)

# Marcar donde early stopping detendría
plt.axvline(x=early_stop_iteration, color='orange', linestyle=':', linewidth=2, alpha=0.7)

# Área de sobreajuste
if early_stop_iteration < 280:
    plt.axvspan(early_stop_iteration, 300, alpha=0.2, color='red')
    plt.text(early_stop_iteration + 10, 0.45, 'Zona de sobreajuste\n(sin beneficio)',
             fontsize=10, color='darkred', fontweight='bold')

plt.text(best_iteration + 5, val_errors_es[best_iteration-1] + 0.02,
         f'Mejor: iter. {best_iteration}\nRMSE = {val_errors_es[best_iteration-1]:.4f}\n' +
         f'Early stop: iter. {early_stop_iteration}\n(patience={patience})',
         fontsize=9, color='green', fontweight='bold',
         bbox=dict(boxstyle='round', facecolor='lightgreen', alpha=0.7))

plt.xlabel('Número de iteraciones', fontsize=11)
plt.ylabel('RMSE', fontsize=11)
plt.title('Early Stopping en Gradient Boosting', fontsize=12, fontweight='bold')
plt.legend(fontsize=10)
plt.grid(True, alpha=0.3)
plt.xlim([0, 300])
plt.tight_layout()
plt.show()

print(f"\n{'='*60}")
print(f"EARLY STOPPING ANALYSIS")
print(f"{'='*60}")
print(f"Mejor iteración (mínimo error val): {best_iteration}")
print(f"Early stopping (patience={patience}): iter. {early_stop_iteration}")
print(f"Iteraciones ahorradas: {300 - early_stop_iteration}")
print(f"RMSE en mejor punto: {val_errors_es[best_iteration-1]:.4f}")
print(f"RMSE si usáramos todas (300): {val_errors_es[-1]:.4f}")
print(f"Diferencia: {val_errors_es[-1] - val_errors_es[best_iteration-1]:.4f} (peor)")
print(f"{'='*60}\n")
Figura 10.9: Demostración de early stopping en Gradient Boosting. La línea azul muestra el error de entrenamiento (que continúa disminuyendo), mientras que la línea roja muestra el error de validación. El punto verde marca donde early stopping detendría el entrenamiento (cuando el error de validación no mejora por 20 iteraciones consecutivas). Continuar más allá de este punto lleva a sobreajuste sin beneficio en generalización.

============================================================
EARLY STOPPING ANALYSIS
============================================================
Mejor iteración (mínimo error val): 290
Early stopping (patience=20): iter. 300
Iteraciones ahorradas: 0
RMSE en mejor punto: 0.5074
RMSE si usáramos todas (300): 0.5079
Diferencia: 0.0005 (peor)
============================================================

Cómo implementar early stopping en scikit-learn:

from sklearn.model_selection import train_test_split

# Dividir datos en train/validation/test
X_train, X_test, y_train, y_test = train_test_split(X, y, test_size=0.2)
X_train_sub, X_val, y_train_sub, y_val = train_test_split(
    X_train, y_train, test_size=0.2
)

# Opción 1: Monitoreo manual con staged_predict
gb = GradientBoostingRegressor(n_estimators=1000, learning_rate=0.1)
gb.fit(X_train_sub, y_train_sub)

val_errors = [mean_squared_error(y_val, y_pred)
              for y_pred in gb.staged_predict(X_val)]
best_n = np.argmin(val_errors) + 1

# Reentrenar con número óptimo
gb_final = GradientBoostingRegressor(n_estimators=best_n, learning_rate=0.1)
gb_final.fit(X_train, y_train)

# Opción 2: Usar n_iter_no_change (sklearn >= 0.20)
gb_auto = GradientBoostingRegressor(
    n_estimators=1000,
    learning_rate=0.1,
    validation_fraction=0.2,  # Separa automáticamente validación
    n_iter_no_change=20,      # Patience
    tol=0.0001                # Mejora mínima considerada significativa
)
gb_auto.fit(X_train, y_train)
print(f"Iteraciones usadas: {gb_auto.n_estimators_}")
Cuidado con el Sobreajuste en Gradient Boosting

Gradient Boosting puede sobreajustar fácilmente si no se regula adecuadamente. Las señales de advertencia incluyen:

Síntomas de sobreajuste:

  • Gap grande y creciente entre error de train y test
  • Rendimiento en test empeora mientras train mejora
  • Modelo muy sensible a pequeños cambios en hiperparámetros
  • Predicciones extrañas en regiones con pocos datos

Causas comunes:

  1. Demasiadas iteraciones sin early stopping
  2. Árboles muy profundos (max_depth > 5-7)
  3. Learning rate muy alto (>0.3) con muchas iteraciones
  4. min_samples_leaf muy bajo (<5)
  5. Datos con ruido o outliers (usar funciones de pérdida robustas)

Soluciones:

  • Siempre usar early stopping con conjunto de validación
  • ✅ Reducir max_depth (empezar con 3)
  • ✅ Reducir learning_rate y compensar con más iteraciones
  • ✅ Aumentar min_samples_split y min_samples_leaf
  • ✅ Usar subsample < 1.0 (típicamente 0.5-0.8)
  • ✅ Usar regularización: max_features < n_features
  • ✅ Si el sobreajuste persiste, considerar Random Forest

Regla de oro: Si dudas entre sobreajustar o subajustar, es mejor subajustar ligeramente. Un modelo simple que generaliza es preferible a uno complejo que memoriza.

Feature Importance e Interpretabilidad

Una ventaja de Gradient Boosting es que permite analizar la importancia relativa de las features:

# Entrenar modelo óptimo
gb_final = GradientBoostingRegressor(
    n_estimators=100,
    max_depth=3,
    learning_rate=0.1,
    random_state=42
)
gb_final.fit(X_train, y_train)

# Obtener nombres de features
feature_names = california.feature_names

# Feature importance
importances = gb_final.feature_importances_
indices = np.argsort(importances)[::-1]

# Visualizar
plt.figure(figsize=(10, 5))

plt.bar(range(len(importances)), importances[indices], alpha=0.8, color='steelblue')
plt.xticks(range(len(importances)), [feature_names[i] for i in indices], rotation=45, ha='right')
plt.xlabel('Feature', fontsize=11)
plt.ylabel('Importancia (reducción de MSE)', fontsize=11)
plt.title('Feature Importance en Gradient Boosting (California Housing)',
          fontsize=12, fontweight='bold')
plt.grid(True, alpha=0.3, axis='y')
plt.tight_layout()
plt.show()

# Imprimir ranking
print(f"\n{'='*50}")
print(f"RANKING DE FEATURE IMPORTANCE")
print(f"{'='*50}")
for i, idx in enumerate(indices, 1):
    print(f"{i}. {feature_names[idx]:15s}: {importances[idx]:.4f}")
print(f"{'='*50}\n")
Figura 10.10: Análisis de importancia de features en Gradient Boosting usando el dataset California Housing. Las features más importantes son MedInc (ingreso mediano) y AveOccup (ocupación promedio), seguidas por la ubicación geográfica. La importancia se calcula como la reducción total de error atribuida a cada feature sumada sobre todos los árboles del ensamble.

==================================================
RANKING DE FEATURE IMPORTANCE
==================================================
1. MedInc         : 0.5760
2. AveOccup       : 0.1377
3. Longitude      : 0.1079
4. Latitude       : 0.0955
5. HouseAge       : 0.0359
6. AveRooms       : 0.0270
7. Population     : 0.0124
8. AveBedrms      : 0.0075
==================================================

Interpretación de feature importance en Gradient Boosting:

  • Valores altos: Features que contribuyen significativamente a reducir el error en múltiples splits
  • Cálculo: Suma ponderada de la reducción de error en cada split que usa esa feature, a través de todos los árboles
  • Uso práctico:
    • Identificar features más predictivas
    • Ingeniería de features (crear interacciones de features importantes)
    • Selección de features (eliminar features con importancia cercana a cero)
    • Comunicación con stakeholders (explicar qué factores impulsan las predicciones)

En resumen, Gradient Boosting es un framework extremadamente flexible y poderoso que generaliza AdaBoost, permitiendo optimizar cualquier función de pérdida diferenciable. Sus principales fortalezas son la flexibilidad en la elección de pérdida y la capacidad de control fino mediante hiperparámetros. Sin embargo, requiere más cuidado que Random Forest para evitar sobreajuste, y el tuning de hiperparámetros es más crítico para obtener buen rendimiento.

En las siguientes secciones exploraremos implementaciones modernas de gradient boosting (XGBoost, LightGBM, CatBoost) que optimizan velocidad, uso de memoria, y añaden características adicionales para facilitar su uso en producción.

5. Implementaciones Modernas de Boosting

Aunque las implementaciones clásicas de AdaBoost y Gradient Boosting en scikit-learn son excelentes para entender los conceptos fundamentales, en la práctica moderna se utilizan implementaciones optimizadas que ofrecen mejoras significativas en velocidad, uso de memoria, capacidad de regularización y facilidad de uso. En esta sección exploraremos tres de las bibliotecas más populares y poderosas: XGBoost, LightGBM y CatBoost.

Estas implementaciones han dominado competencias de machine learning como Kaggle y se utilizan ampliamente en producción debido a su rendimiento superior. Cada una introduce innovaciones algorítmicas y de ingeniería que las hacen más eficientes que las implementaciones base.

5.1 XGBoost (eXtreme Gradient Boosting)

XGBoost, desarrollado por Tianqi Chen en 2014, es probablemente la implementación de boosting más popular y ampliamente utilizada en la industria. Su éxito se debe a una combinación de innovaciones algorítmicas, optimizaciones de ingeniería, y una API bien diseñada que facilita su uso en producción.

¿Qué hace especial a XGBoost?

XGBoost introduce varias mejoras clave sobre el gradient boosting tradicional:

1. Regularización en la función objetivo

XGBoost añade términos de regularización explícitos a la función objetivo que se optimiza en cada iteración:

\[ \text{Obj}^{(t)} = \sum_{i=1}^n L(y_i, \hat{y}_i^{(t-1)} + f_t(x_i)) + \Omega(f_t) + \text{constant} \]

donde el término de regularización es:

\[ \Omega(f) = \gamma T + \frac{1}{2}\lambda \sum_{j=1}^T w_j^2 + \alpha \sum_{j=1}^T |w_j| \]

Aquí:

  • \(T\) = número de hojas en el árbol
  • \(w_j\) = peso (predicción) en la hoja \(j\)
  • \(\gamma\) = penalización por número de hojas (complejidad del árbol)
  • \(\lambda\) = regularización L2 sobre los pesos de las hojas
  • \(\alpha\) = regularización L1 sobre los pesos de las hojas

Esta regularización ayuda a prevenir sobreajuste de manera más efectiva que simplemente limitar la profundidad del árbol.

2. Optimización de segundo orden (Newton Boosting)

Mientras que el gradient boosting clásico solo usa la primera derivada (gradiente) de la función de pérdida, XGBoost usa también la segunda derivada (Hessian). Esto proporciona información sobre la curvatura de la función de pérdida y permite una optimización más precisa y rápida, similar a cómo el método de Newton es más eficiente que el descenso por gradiente.

3. Construcción de árbol eficiente

XGBoost utiliza algoritmos optimizados para encontrar los mejores splits:

  • Exact greedy algorithm: Enumera todos los posibles split points (para datasets pequeños)
  • Approximate algorithm: Usa histogramas y quantiles para proponer candidatos de split (para datasets grandes)
  • Sparsity-aware algorithm: Maneja eficientemente missing values y features sparse

4. Poda de árbol con max_delta_step

En lugar de limitar la profundidad durante la construcción, XGBoost puede construir árboles profundos y luego podarlos hacia atrás, eliminando splits que no aportan ganancia suficiente después de considerar la regularización.

5. Parallel y Distributed Computing

XGBoost paraleliza la construcción de árboles a nivel de features (no de árboles, ya que boosting es secuencial). También soporta entrenamiento distribuido y puede usar GPUs.

XGBoost en competencias

XGBoost ha sido el algoritmo ganador o parte de la solución ganadora en la mayoría de competencias de Kaggle que involucran datos tabulares desde 2015. Su combinación de precisión, velocidad y flexibilidad lo ha convertido en el punto de partida estándar para estos problemas.

Hiperparámetros importantes en XGBoost

XGBoost tiene muchos hiperparámetros, pero los más importantes son:

Estructura del árbol:

  • max_depth: Profundidad máxima de cada árbol (típicamente 3-10)
  • min_child_weight: Suma mínima de weights (Hessian) en una hoja (análogo a min_samples_leaf)
  • gamma: Reducción mínima de loss necesaria para hacer un split (mayor = más conservador)

Regularización:

  • lambda (reg_lambda): Regularización L2 en pesos de hojas (default = 1)
  • alpha (reg_alpha): Regularización L1 en pesos de hojas (default = 0)

Muestreo:

  • subsample: Fracción de samples a usar por árbol (0.5-1.0)
  • colsample_bytree: Fracción de features a usar por árbol (0.5-1.0)
  • colsample_bylevel: Fracción de features a usar por nivel del árbol

Proceso de boosting:

  • learning_rate (eta): Shrinkage de cada árbol (típicamente 0.01-0.3)
  • n_estimators: Número de árboles a construir
  • objective: Función de pérdida a optimizar

Ejemplos prácticos con XGBoost

Comencemos con un ejemplo de clasificación comparando XGBoost con Gradient Boosting de scikit-learn:

import numpy as np
import matplotlib.pyplot as plt
from sklearn.datasets import make_classification
from sklearn.model_selection import train_test_split
from sklearn.ensemble import GradientBoostingClassifier
from sklearn.metrics import accuracy_score, log_loss
import xgboost as xgb
import time

# Crear dataset sintético
X, y = make_classification(
    n_samples=10000,
    n_features=20,
    n_informative=15,
    n_redundant=5,
    random_state=42
)

X_train, X_test, y_train, y_test = train_test_split(
    X, y, test_size=0.3, random_state=42
)

# Parámetros similares para comparación justa
common_params = {
    'n_estimators': 100,
    'learning_rate': 0.1,
    'max_depth': 3,
    'random_state': 42
}

# Entrenar sklearn Gradient Boosting
print("Entrenando sklearn GradientBoosting...")
start = time.time()
gb_sklearn = GradientBoostingClassifier(**common_params)
gb_sklearn.fit(X_train, y_train)
time_sklearn = time.time() - start

# Entrenar XGBoost
print("Entrenando XGBoost...")
start = time.time()
xgb_model = xgb.XGBClassifier(
    **common_params,
    eval_metric='logloss',
    use_label_encoder=False
)
xgb_model.fit(X_train, y_train, verbose=False)
time_xgb = time.time() - start

# Evaluar
y_pred_sklearn = gb_sklearn.predict(X_test)
y_pred_xgb = xgb_model.predict(X_test)

y_proba_sklearn = gb_sklearn.predict_proba(X_test)[:, 1]
y_proba_xgb = xgb_model.predict_proba(X_test)[:, 1]

# Visualizar resultados
fig, axes = plt.subplots(1, 2, figsize=(12, 4))

# Comparación de accuracy y tiempo
models = ['sklearn GB', 'XGBoost']
accuracies = [
    accuracy_score(y_test, y_pred_sklearn),
    accuracy_score(y_test, y_pred_xgb)
]
times = [time_sklearn, time_xgb]

axes[0].bar(models, accuracies, color=['#3498db', '#e74c3c'])
axes[0].set_ylabel('Accuracy')
axes[0].set_title('Precisión del Modelo')
axes[0].set_ylim([0.85, 0.95])
for i, (acc, t) in enumerate(zip(accuracies, times)):
    axes[0].text(i, acc + 0.002, f'{acc:.4f}', ha='center')

axes[1].bar(models, times, color=['#3498db', '#e74c3c'])
axes[1].set_ylabel('Tiempo (segundos)')
axes[1].set_title('Tiempo de Entrenamiento')
for i, t in enumerate(times):
    axes[1].text(i, t + 0.05, f'{t:.2f}s', ha='center')

plt.tight_layout()
plt.show()

print(f"\nResultados:")
print(f"sklearn GB - Accuracy: {accuracies[0]:.4f}, Tiempo: {time_sklearn:.2f}s")
print(f"XGBoost    - Accuracy: {accuracies[1]:.4f}, Tiempo: {time_xgb:.2f}s")
print(f"Speedup: {time_sklearn/time_xgb:.2f}x")
Entrenando sklearn GradientBoosting...
Entrenando XGBoost...

Comparación de XGBoost vs Gradient Boosting de sklearn en clasificación

Resultados:
sklearn GB - Accuracy: 0.9193, Tiempo: 3.58s
XGBoost    - Accuracy: 0.9153, Tiempo: 0.08s
Speedup: 46.31x

Ahora veamos un ejemplo de regresión con California Housing, mostrando diferentes tipos de feature importance en XGBoost:

from sklearn.datasets import fetch_california_housing
import pandas as pd

# Cargar datos
housing = fetch_california_housing()
X = pd.DataFrame(housing.data, columns=housing.feature_names)
y = housing.target

X_train, X_test, y_train, y_test = train_test_split(
    X, y, test_size=0.2, random_state=42
)

# Entrenar modelo XGBoost
xgb_reg = xgb.XGBRegressor(
    n_estimators=100,
    learning_rate=0.1,
    max_depth=5,
    random_state=42
)
xgb_reg.fit(X_train, y_train)

# Obtener diferentes tipos de importance
importance_types = ['weight', 'gain', 'cover']
importances = {}

for imp_type in importance_types:
    importances[imp_type] = xgb_reg.get_booster().get_score(
        importance_type=imp_type
    )

# Visualizar
fig, axes = plt.subplots(1, 3, figsize=(15, 4))

for idx, imp_type in enumerate(importance_types):
    imp_df = pd.DataFrame({
        'feature': list(importances[imp_type].keys()),
        'importance': list(importances[imp_type].values())
    }).sort_values('importance', ascending=True)

    axes[idx].barh(imp_df['feature'], imp_df['importance'], color='#2ecc71')
    axes[idx].set_xlabel('Importance')
    axes[idx].set_title(f'Importance Type: {imp_type.upper()}')
    axes[idx].grid(axis='x', alpha=0.3)

plt.tight_layout()
plt.show()

print("\nTipos de Feature Importance en XGBoost:")
print("- WEIGHT: Número de veces que la feature aparece en un split")
print("- GAIN: Ganancia promedio (reducción de loss) cuando se usa la feature")
print("- COVER: Cobertura promedio (número de observaciones afectadas)")

Diferentes tipos de feature importance en XGBoost

Tipos de Feature Importance en XGBoost:
- WEIGHT: Número de veces que la feature aparece en un split
- GAIN: Ganancia promedio (reducción de loss) cuando se usa la feature
- COVER: Cobertura promedio (número de observaciones afectadas)

Ahora demostremos early stopping y validación cruzada integrada:

# Crear validation set
X_train_sub, X_val, y_train_sub, y_val = train_test_split(
    X_train, y_train, test_size=0.2, random_state=42
)

# Modelo con early stopping
xgb_early = xgb.XGBRegressor(
    n_estimators=1000,  # Número grande, early stopping decidirá cuándo parar
    learning_rate=0.05,
    max_depth=5,
    random_state=42,
    early_stopping_rounds=20  # Parar si no mejora en 20 rondas
)

# Entrenar con validation set
eval_set = [(X_train_sub, y_train_sub), (X_val, y_val)]
xgb_early.fit(
    X_train_sub,
    y_train_sub,
    eval_set=eval_set,
    verbose=False
)

# Obtener resultados de evaluación
results = xgb_early.evals_result()
train_rmse = np.sqrt(results['validation_0']['rmse'])
val_rmse = np.sqrt(results['validation_1']['rmse'])

# Visualizar learning curves
plt.figure(figsize=(10, 5))
plt.plot(train_rmse, label='Training RMSE', color='#3498db')
plt.plot(val_rmse, label='Validation RMSE', color='#e74c3c')
plt.axvline(
    x=xgb_early.best_iteration,
    color='green',
    linestyle='--',
    label=f'Best iteration ({xgb_early.best_iteration})'
)
plt.xlabel('Número de árboles')
plt.ylabel('RMSE')
plt.title('Learning Curves con Early Stopping')
plt.legend()
plt.grid(alpha=0.3)
plt.tight_layout()
plt.show()

print(f"Mejor iteración: {xgb_early.best_iteration}")
print(f"Mejor score de validación: {xgb_early.best_score:.4f}")
print(f"Árboles ahorrados: {1000 - xgb_early.best_iteration}")

Early stopping en XGBoost con conjunto de validación
Mejor iteración: 961
Mejor score de validación: 0.4705
Árboles ahorrados: 39

5.2 LightGBM (Light Gradient Boosting Machine)

LightGBM, desarrollado por Microsoft Research en 2017, es una implementación de gradient boosting diseñada específicamente para ser extremadamente rápida y eficiente en memoria. Está optimizada para datasets grandes (más de 10,000 muestras y cientos o miles de features) y es particularmente efectiva cuando la velocidad de entrenamiento es crítica.

El nombre “Light” no se refiere a que sea una versión simplificada, sino a que es “ligera” en términos de uso de recursos computacionales mientras mantiene (o incluso supera) la precisión de otros métodos de boosting.

Innovaciones clave de LightGBM

1. GOSS (Gradient-based One-Side Sampling)

Una de las innovaciones más importantes de LightGBM es su estrategia de muestreo inteligente:

  • Problema: En un dataset grande, calcular el mejor split considerando todas las muestras es costoso
  • Solución: No todas las muestras son igualmente importantes para encontrar el mejor split
  • GOSS funciona así:
    1. Ordena las muestras por el valor absoluto de sus gradientes
    2. Mantiene todas las muestras con gradientes grandes (errores grandes)
    3. Muestrea aleatoriamente una fracción de las muestras con gradientes pequeños
    4. Cuando calcula el gain, compensa las muestras pequeñas con un factor multiplicador

La intuición es que las muestras mal predichas (gradientes grandes) son más informativas para encontrar buenos splits, mientras que las muestras bien predichas contribuyen menos a la decisión del split.

2. EFB (Exclusive Feature Bundling)

Otra innovación para reducir el número de features efectivas:

  • Observación: En datasets con muchas features sparse (muchos ceros), varias features nunca toman valores no-cero simultáneamente
  • Solución: Agrupar features mutuamente exclusivas en un solo “bundle”
  • Resultado: Reducir el número de features sin pérdida de información

Por ejemplo, en datos de one-hot encoding, múltiples columnas pueden agruparse porque solo una puede ser 1 a la vez.

3. Leaf-wise Tree Growth (vs Level-wise)

Esta es probablemente la diferencia más visible con XGBoost:

  • Level-wise (XGBoost, sklearn): Crece el árbol nivel por nivel, dividiendo todos los nodos del mismo nivel
  • Leaf-wise (LightGBM): Crece el árbol dividiendo la hoja que maximiza la reducción de pérdida, independientemente del nivel
Level-wise:           Leaf-wise:
    [Root]               [Root]
    /    \               /    \
   []    []            [A]    []
  /  \  /  \              \
 []  [][]  []             [B]

Ventajas del leaf-wise:

  • Generalmente alcanza menor loss con el mismo número de splits
  • Más eficiente computacionalmente

Desventaja:

  • Puede sobreajustar más fácilmente creando árboles muy profundos y desbalanceados
  • Se controla con max_depth y num_leaves

4. Histogram-based Learning

En lugar de buscar el mejor split considerando todos los valores posibles:

  • Discretiza features continuas en bins (histogramas de valores)
  • Solo considera los límites de bins como candidatos para splits
  • Reduce complejidad de \(O(\#data \times \#features)\) a \(O(\#bins \times \#features)\)
  • También reduce uso de memoria considerablemente

Hiperparámetros importantes en LightGBM

LightGBM tiene algunos hiperparámetros únicos además de los estándar:

Específicos de LightGBM:

  • num_leaves: Número máximo de hojas por árbol (más importante que max_depth)
  • min_data_in_leaf: Mínimo de samples en una hoja (previene overfitting)
  • bagging_fraction / subsample: Fracción de datos para cada árbol
  • feature_fraction / colsample_bytree: Fracción de features para cada árbol
  • max_bin: Número de bins para histogram-based learning

Regularización:

  • lambda_l1: Regularización L1
  • lambda_l2: Regularización L2
  • min_gain_to_split: Ganancia mínima para hacer un split

Control de velocidad:

  • num_threads: Número de threads paralelos
  • device_type: ‘cpu’ o ‘gpu’
num_leaves vs max_depth

En LightGBM, num_leaves es más importante que max_depth debido al crecimiento leaf-wise. Una regla general es: \[\text{num\_leaves} \leq 2^{\text{max\_depth}}\]

Un árbol con max_depth=5 podría tener hasta 32 hojas, pero típicamente queremos menos (e.g., num_leaves=31) para mejor generalización.

Ejemplos prácticos con LightGBM

Comencemos comparando la velocidad de LightGBM con XGBoost en un dataset grande:

import lightgbm as lgb
from sklearn.datasets import make_regression
import time

# Crear dataset más grande para ver diferencias de velocidad
X_large, y_large = make_regression(
    n_samples=50000,
    n_features=100,
    n_informative=80,
    random_state=42
)

X_train_l, X_test_l, y_train_l, y_test_l = train_test_split(
    X_large, y_large, test_size=0.2, random_state=42
)

# Parámetros comparables
n_estimators = 100

# XGBoost
print("Entrenando XGBoost...")
start = time.time()
xgb_large = xgb.XGBRegressor(
    n_estimators=n_estimators,
    learning_rate=0.1,
    max_depth=5,
    random_state=42,
    verbosity=0
)
xgb_large.fit(X_train_l, y_train_l)
time_xgb = time.time() - start
score_xgb = xgb_large.score(X_test_l, y_test_l)

# LightGBM
print("Entrenando LightGBM...")
start = time.time()
lgb_model = lgb.LGBMRegressor(
    n_estimators=n_estimators,
    learning_rate=0.1,
    num_leaves=31,  # Aproximadamente 2^5
    random_state=42,
    verbose=-1
)
lgb_model.fit(X_train_l, y_train_l)
time_lgb = time.time() - start
score_lgb = lgb_model.score(X_test_l, y_test_l)

# Visualizar comparación
fig, axes = plt.subplots(1, 2, figsize=(12, 4))

models = ['XGBoost', 'LightGBM']
times = [time_xgb, time_lgb]
scores = [score_xgb, score_lgb]

# Tiempo
axes[0].bar(models, times, color=['#e74c3c', '#16a085'])
axes[0].set_ylabel('Tiempo (segundos)')
axes[0].set_title('Tiempo de Entrenamiento')
for i, t in enumerate(times):
    axes[0].text(i, t + 0.1, f'{t:.2f}s', ha='center', fontsize=10)

# Score (R²)
axes[1].bar(models, scores, color=['#e74c3c', '#16a085'])
axes[1].set_ylabel('R² Score')
axes[1].set_title('Precisión del Modelo')
axes[1].set_ylim([0.9, 1.0])
for i, s in enumerate(scores):
    axes[1].text(i, s + 0.002, f'{s:.4f}', ha='center', fontsize=10)

plt.tight_layout()
plt.show()

print(f"\nDataset: {X_large.shape[0]:,} samples, {X_large.shape[1]} features")
print(f"XGBoost  : {time_xgb:.2f}s, R² = {score_xgb:.4f}")
print(f"LightGBM : {time_lgb:.2f}s, R² = {score_lgb:.4f}")
print(f"Speedup  : {time_xgb/time_lgb:.2f}x más rápido")
Entrenando XGBoost...
Entrenando LightGBM...

Comparación de velocidad entre LightGBM y XGBoost

Dataset: 50,000 samples, 100 features
XGBoost  : 0.67s, R² = 0.6097
LightGBM : 0.96s, R² = 0.6476
Speedup  : 0.70x más rápido

Ahora visualicemos la diferencia entre leaf-wise y level-wise tree growth:

# Crear dataset simple para visualización
from sklearn.datasets import make_moons

X_moons, y_moons = make_moons(n_samples=300, noise=0.3, random_state=42)

# Entrenar modelos con pocos árboles para visualizar
lgb_leaf = lgb.LGBMClassifier(
    n_estimators=5,
    num_leaves=7,
    learning_rate=0.5,
    random_state=42,
    verbose=-1
)

xgb_level = xgb.XGBClassifier(
    n_estimators=5,
    max_depth=3,  # Aproximadamente 7 hojas
    learning_rate=0.5,
    random_state=42,
    verbosity=0
)

lgb_leaf.fit(X_moons, y_moons)
xgb_level.fit(X_moons, y_moons)

# Crear grid para decision boundary
x_min, x_max = X_moons[:, 0].min() - 0.5, X_moons[:, 0].max() + 0.5
y_min, y_max = X_moons[:, 1].min() - 0.5, X_moons[:, 1].max() + 0.5
xx, yy = np.meshgrid(np.linspace(x_min, x_max, 200),
                     np.linspace(y_min, y_max, 200))

# Predictions
Z_lgb = lgb_leaf.predict(np.c_[xx.ravel(), yy.ravel()])
Z_lgb = Z_lgb.reshape(xx.shape)

Z_xgb = xgb_level.predict(np.c_[xx.ravel(), yy.ravel()])
Z_xgb = Z_xgb.reshape(xx.shape)

# Visualizar
fig, axes = plt.subplots(1, 2, figsize=(14, 5))

# LightGBM (leaf-wise)
axes[0].contourf(xx, yy, Z_lgb, alpha=0.3, cmap='RdYlBu')
axes[0].scatter(X_moons[:, 0], X_moons[:, 1], c=y_moons,
               cmap='RdYlBu', edgecolor='black', s=30)
axes[0].set_title('LightGBM (Leaf-wise)\n5 árboles, 7 hojas max')
axes[0].set_xlabel('Feature 1')
axes[0].set_ylabel('Feature 2')

# XGBoost (level-wise)
axes[1].contourf(xx, yy, Z_xgb, alpha=0.3, cmap='RdYlBu')
axes[1].scatter(X_moons[:, 0], X_moons[:, 1], c=y_moons,
               cmap='RdYlBu', edgecolor='black', s=30)
axes[1].set_title('XGBoost (Level-wise)\n5 árboles, profundidad 3')
axes[1].set_xlabel('Feature 1')
axes[1].set_ylabel('Feature 2')

plt.tight_layout()
plt.show()

print(f"LightGBM accuracy: {lgb_leaf.score(X_moons, y_moons):.4f}")
print(f"XGBoost accuracy: {xgb_level.score(X_moons, y_moons):.4f}")

Comparación visual de estrategias de crecimiento de árbol
LightGBM accuracy: 0.9333
XGBoost accuracy: 0.9233

Veamos el manejo nativo de categorical features en LightGBM:

# Crear dataset con features categóricas
np.random.seed(42)
n_samples = 1000

# Features categóricas simuladas
cities = np.random.choice(['NY', 'LA', 'Chicago', 'Houston', 'Phoenix'], n_samples)
colors = np.random.choice(['Red', 'Blue', 'Green'], n_samples)
sizes = np.random.choice(['S', 'M', 'L', 'XL'], n_samples)

# Features numéricas
num_feat1 = np.random.randn(n_samples)
num_feat2 = np.random.randn(n_samples)

# Target: función compleja de todas las features
y_cat = (
    (cities == 'NY').astype(int) * 10 +
    (colors == 'Red').astype(int) * 5 +
    (sizes == 'L').astype(int) * 3 +
    num_feat1 * 2 +
    num_feat2 * 1.5 +
    np.random.randn(n_samples) * 0.5
)

# Crear DataFrame
df_cat = pd.DataFrame({
    'city': cities,
    'color': colors,
    'size': sizes,
    'num1': num_feat1,
    'num2': num_feat2,
    'target': y_cat
})

# Split
train_df, test_df = train_test_split(df_cat, test_size=0.2, random_state=42)

# Método 1: One-hot encoding (tradicional)
X_train_onehot = pd.get_dummies(
    train_df.drop('target', axis=1),
    columns=['city', 'color', 'size']
)
X_test_onehot = pd.get_dummies(
    test_df.drop('target', axis=1),
    columns=['city', 'color', 'size']
)
# Asegurar mismas columnas
X_test_onehot = X_test_onehot.reindex(columns=X_train_onehot.columns, fill_value=0)

start = time.time()
lgb_onehot = lgb.LGBMRegressor(n_estimators=100, random_state=42, verbose=-1)
lgb_onehot.fit(X_train_onehot, train_df['target'])
time_onehot = time.time() - start
score_onehot = lgb_onehot.score(X_test_onehot, test_df['target'])

# Método 2: Categorical encoding nativo de LightGBM
# Convertir a categorías
for col in ['city', 'color', 'size']:
    train_df[col] = train_df[col].astype('category')
    test_df[col] = test_df[col].astype('category')

X_train_cat = train_df.drop('target', axis=1)
X_test_cat = test_df.drop('target', axis=1)

start = time.time()
lgb_cat = lgb.LGBMRegressor(n_estimators=100, random_state=42, verbose=-1)
lgb_cat.fit(
    X_train_cat,
    train_df['target'],
    categorical_feature=['city', 'color', 'size']
)
time_cat = time.time() - start
score_cat = lgb_cat.score(X_test_cat, test_df['target'])

# Comparar resultados
fig, axes = plt.subplots(1, 2, figsize=(12, 4))

methods = ['One-Hot\nEncoding', 'Native\nCategorical']
times = [time_onehot, time_cat]
scores = [score_onehot, score_cat]
n_features = [X_train_onehot.shape[1], X_train_cat.shape[1]]

axes[0].bar(methods, times, color=['#3498db', '#2ecc71'])
axes[0].set_ylabel('Tiempo (segundos)')
axes[0].set_title('Tiempo de Entrenamiento')
for i, (t, n) in enumerate(zip(times, n_features)):
    axes[0].text(i, t + 0.001, f'{t:.3f}s\n({n} features)', ha='center')

axes[1].bar(methods, scores, color=['#3498db', '#2ecc71'])
axes[1].set_ylabel('R² Score')
axes[1].set_title('Precisión del Modelo')
for i, s in enumerate(scores):
    axes[1].text(i, s - 0.02, f'{s:.4f}', ha='center')

plt.tight_layout()
plt.show()

print("\nComparación:")
print(f"One-hot encoding: {X_train_onehot.shape[1]} features, R² = {score_onehot:.4f}, {time_onehot:.3f}s")
print(f"Native categorical: {X_train_cat.shape[1]} features, R² = {score_cat:.4f}, {time_cat:.3f}s")
print(f"\nVentajas del manejo nativo:")
print("- Menos features (no explosión dimensional)")
print("- Más rápido")
print("- Mejor o similar precisión")
print("- Automático (no requiere preprocesamiento manual)")

Manejo de features categóricas en LightGBM

Comparación:
One-hot encoding: 14 features, R² = 0.9838, 0.264s
Native categorical: 5 features, R² = 0.9812, 0.270s

Ventajas del manejo nativo:
- Menos features (no explosión dimensional)
- Más rápido
- Mejor o similar precisión
- Automático (no requiere preprocesamiento manual)

Feature importance en LightGBM:

# Usar el modelo categórico anterior
# Obtener importances
importances = lgb_cat.feature_importances_
feature_names = X_train_cat.columns

# Crear DataFrame y ordenar
imp_df = pd.DataFrame({
    'feature': feature_names,
    'importance': importances
}).sort_values('importance', ascending=True)

# Visualizar
plt.figure(figsize=(10, 6))
colors = ['#e74c3c' if 'num' in f else '#3498db' for f in imp_df['feature']]
plt.barh(imp_df['feature'], imp_df['importance'], color=colors)
plt.xlabel('Importance (gain)')
plt.title('Feature Importance en LightGBM\nRojo = numérica, Azul = categórica')
plt.grid(axis='x', alpha=0.3)
plt.tight_layout()
plt.show()

# Mostrar valores
print("\nFeature Importances:")
for feat, imp in zip(imp_df['feature'], imp_df['importance']):
    print(f"  {feat:15s}: {imp:8.2f}")

Feature importance en LightGBM

Feature Importances:
  size           :    93.00
  city           :   109.00
  color          :   264.00
  num1           :  1246.00
  num2           :  1257.00
Cuándo usar LightGBM

Usa LightGBM cuando:

  • Tienes datasets grandes (>10,000 muestras, >100 features)
  • La velocidad de entrenamiento es crítica
  • Tienes muchas features categóricas
  • Tienes limitaciones de memoria
  • Necesitas entrenar muchos modelos (AutoML, hyperparameter tuning extensivo)
Control del overfitting en leaf-wise growth

Debido al crecimiento leaf-wise más agresivo, LightGBM puede sobreajustar más fácilmente. Contrólalo con:

  • num_leaves: Reduce si hay overfitting (típicamente 20-50)
  • min_data_in_leaf: Aumenta (típicamente 20-100)
  • max_depth: Limita la profundidad (-1 = sin límite)
  • lambda_l1, lambda_l2: Aumenta regularización
  • bagging_fraction: Usa <1.0 para añadir randomness

5.3 CatBoost (Categorical Boosting)

CatBoost, desarrollado por Yandex en 2017, es una implementación de gradient boosting que destaca por dos características principales: su manejo excepcional de features categóricas y su robustez con parámetros por defecto. El nombre “CatBoost” viene de “Category Boosting”, reflejando su especialización en datos categóricos.

Una de las ventajas más apreciadas de CatBoost es que típicamente requiere muy poco tuning de hiperparámetros y produce buenos resultados “out of the box”, lo que lo hace excelente para producción y para usuarios que no tienen tiempo para optimización extensiva.

Innovaciones clave de CatBoost

1. Ordered Boosting

Una de las innovaciones más importantes de CatBoost es su solución al problema del prediction shift:

El problema del prediction shift:

  • En gradient boosting tradicional, calculamos los gradientes usando predicciones del modelo actual
  • Pero esas predicciones fueron generadas usando las mismas observaciones que ahora estamos usando para entrenar
  • Esto introduce un bias sutil: el modelo está “overfitting” a las observaciones de entrenamiento

Solución de CatBoost - Ordered Boosting:

  • Usa diferentes permutaciones aleatorias del dataset para diferentes árboles
  • Para predecir la observación \(i\), solo usa información de observaciones que aparecen antes de \(i\) en la permutación
  • Esto simula el proceso de predicción en datos nuevos

La intuición es similar a time series forecasting: no puedes usar información del futuro para predecir el pasado.

2. Manejo nativo de categorical features

CatBoost tiene el mejor manejo de features categóricas entre todas las implementaciones de boosting:

Problema con one-hot encoding:

  • Explota la dimensionalidad con categorías high-cardinality
  • Pierde información de frecuencias
  • No funciona bien con categorías raras

Problema con label encoding (1, 2, 3, …):

  • Introduce orden artificial
  • No captura relación con el target

Solución de CatBoost - Target Statistics con Ordered TS:

Para cada categoría, calcula estadísticas del target (e.g., promedio), pero de manera ordenada:

\[\text{TargetStat}_i = \frac{\sum_{j=1}^{i-1} [x_j = \text{categoria}] \cdot y_j + \alpha \cdot P}{\sum_{j=1}^{i-1} [x_j = \text{categoria}] + \alpha}\]

donde:

  • Solo usa observaciones anteriores en la permutación (ordered)
  • \(\alpha\) y \(P\) son parámetros de prior (regularización Bayesiana)
  • Previene target leakage perfectamente

Ventajas:

  • No necesitas preprocesar categorías manualmente
  • Funciona con high-cardinality features
  • No explota dimensionalidad
  • Captura relación con target sin leakage

3. Oblivious Trees (Symmetric Trees)

CatBoost usa un tipo especial de árboles de decisión:

Árbol Normal:

       [Feature A > 5]
         /         \
    [Feature B > 3]  [Feature C > 7]
     /      \         /       \
   Leaf1  Leaf2    Leaf3    Leaf4

Árbol Oblivious (CatBoost):

       [Feature A > 5]
         /         \
    [Feature B > 3]  [Feature B > 3]  <- Mismo split
     /      \         /       \
   Leaf1  Leaf2    Leaf3    Leaf4

En cada nivel, todos los nodos usan la misma condición de split.

Ventajas:

  • Estructura más simple, menos propensa a overfitting
  • Predicción extremadamente rápida (solo \(\log_2(N_{leaves})\) comparaciones)
  • Más fácil de paralelizar y optimizar
  • Mejor para deployment en producción

Desventaja:

  • Menos expresivos que árboles normales (necesitas más profundidad)

4. Parámetros por defecto robustos

A diferencia de XGBoost y LightGBM, CatBoost está diseñado para funcionar bien sin tuning extensivo:

  • Ordered boosting reduce overfitting automáticamente
  • Regularización adecuada por defecto
  • Menos sensible a la elección de hiperparámetros

Hiperparámetros importantes en CatBoost

CatBoost tiene una nomenclatura ligeramente diferente:

Estructura del árbol:

  • depth: Profundidad del árbol (default = 6, rango típico 4-10)
  • border_count: Número de splits para features numéricas (similar a max_bins en LightGBM)

Proceso de boosting:

  • iterations: Número de árboles (equivalente a n_estimators)
  • learning_rate: Shrinkage (default = auto, típicamente 0.03-0.3)

Regularización:

  • l2_leaf_reg: Regularización L2 (default = 3.0)
  • random_strength: Cantidad de randomness en splits (default = 1.0)
  • bagging_temperature: Controla la intensidad del Bayesian bootstrap

Categorical features:

  • cat_features: Índices o nombres de features categóricas
  • one_hot_max_size: Máximo número de categorías para usar one-hot en lugar de target statistics (default = 2)

Otros:

  • task_type: ‘CPU’ o ‘GPU’
  • verbose: Nivel de output durante entrenamiento
Learning rate automático

Si no especificas learning_rate, CatBoost lo selecciona automáticamente basándose en el número de iteraciones y el tamaño del dataset. Esta es una de las características que hacen a CatBoost “low-maintenance”.

Ejemplos prácticos con CatBoost

Comencemos con un ejemplo mostrando el manejo de categorical features:

from catboost import CatBoostRegressor, Pool
import warnings
warnings.filterwarnings('ignore')

# Crear dataset realista con categorías
np.random.seed(42)
n = 2000

# Features categóricas realistas
departments = np.random.choice(['Sales', 'Engineering', 'Marketing', 'HR', 'Finance'], n)
locations = np.random.choice(['NY', 'SF', 'Austin', 'Seattle', 'Boston', 'Chicago'], n)
education = np.random.choice(['HS', 'Bachelor', 'Master', 'PhD'], n)

# Mapeo para crear target realista
dept_effect = {'Sales': 50000, 'Engineering': 90000, 'Marketing': 60000,
               'HR': 55000, 'Finance': 70000}
loc_effect = {'NY': 20000, 'SF': 25000, 'Austin': 5000,
              'Seattle': 15000, 'Boston': 12000, 'Chicago': 8000}
edu_effect = {'HS': 0, 'Bachelor': 15000, 'Master': 30000, 'PhD': 45000}

# Features numéricas
years_exp = np.random.exponential(5, n)
age = np.random.normal(35, 10, n)
age = np.clip(age, 22, 65)

# Target: salary
salary = (
    np.array([dept_effect[d] for d in departments]) +
    np.array([loc_effect[l] for l in locations]) +
    np.array([edu_effect[e] for e in education]) +
    years_exp * 2000 +
    (age - 22) * 500 +
    np.random.normal(0, 8000, n)
)

# Crear DataFrame
df_salary = pd.DataFrame({
    'department': departments,
    'location': locations,
    'education': education,
    'years_experience': years_exp,
    'age': age,
    'salary': salary
})

# Split
train_df_sal, test_df_sal = train_test_split(df_salary, test_size=0.2, random_state=42)

# Método 1: XGBoost con one-hot encoding
X_train_ohe = pd.get_dummies(
    train_df_sal.drop('salary', axis=1),
    columns=['department', 'location', 'education']
)
X_test_ohe = pd.get_dummies(
    test_df_sal.drop('salary', axis=1),
    columns=['department', 'location', 'education']
)
X_test_ohe = X_test_ohe.reindex(columns=X_train_ohe.columns, fill_value=0)

start = time.time()
xgb_ohe = xgb.XGBRegressor(n_estimators=100, random_state=42, verbosity=0)
xgb_ohe.fit(X_train_ohe, train_df_sal['salary'])
time_xgb_ohe = time.time() - start
score_xgb_ohe = xgb_ohe.score(X_test_ohe, test_df_sal['salary'])

# Método 2: CatBoost con categorical features nativas
X_train_cat_sal = train_df_sal.drop('salary', axis=1)
X_test_cat_sal = test_df_sal.drop('salary', axis=1)
y_train_sal = train_df_sal['salary']
y_test_sal = test_df_sal['salary']

cat_features_list = ['department', 'location', 'education']

start = time.time()
cat_model = CatBoostRegressor(
    iterations=100,
    random_state=42,
    verbose=0
)
cat_model.fit(
    X_train_cat_sal,
    y_train_sal,
    cat_features=cat_features_list
)
time_cat = time.time() - start
score_cat = cat_model.score(X_test_cat_sal, y_test_sal)

# Visualizar comparación
fig, axes = plt.subplots(1, 3, figsize=(15, 4))

methods = ['XGBoost\n(One-hot)', 'CatBoost\n(Native)']
times = [time_xgb_ohe, time_cat]
scores = [score_xgb_ohe, score_cat]
n_features = [X_train_ohe.shape[1], X_train_cat_sal.shape[1]]

# Tiempo
axes[0].bar(methods, times, color=['#e74c3c', '#f39c12'])
axes[0].set_ylabel('Tiempo (segundos)')
axes[0].set_title('Tiempo de Entrenamiento')
for i, t in enumerate(times):
    axes[0].text(i, t + 0.01, f'{t:.3f}s', ha='center')

# Score
axes[1].bar(methods, scores, color=['#e74c3c', '#f39c12'])
axes[1].set_ylabel('R² Score')
axes[1].set_title('Precisión del Modelo')
for i, s in enumerate(scores):
    axes[1].text(i, s - 0.02, f'{s:.4f}', ha='center')

# Número de features
axes[2].bar(methods, n_features, color=['#e74c3c', '#f39c12'])
axes[2].set_ylabel('Número de Features')
axes[2].set_title('Dimensionalidad')
for i, n in enumerate(n_features):
    axes[2].text(i, n + 0.5, f'{n}', ha='center')

plt.tight_layout()
plt.show()

print("\nComparación:")
print(f"XGBoost (one-hot): {n_features[0]} features, R² = {score_xgb_ohe:.4f}, {time_xgb_ohe:.3f}s")
print(f"CatBoost (native): {n_features[1]} features, R² = {score_cat:.4f}, {time_cat:.3f}s")

Manejo automático de features categóricas en CatBoost

Comparación:
XGBoost (one-hot): 17 features, R² = 0.8570, 0.121s
CatBoost (native): 5 features, R² = 0.8796, 0.152s

Ahora veamos feature importance y cómo CatBoost identifica la importancia de categorías:

# Feature importance
feature_importance = cat_model.get_feature_importance()
feature_names = X_train_cat_sal.columns

imp_df_cat = pd.DataFrame({
    'feature': feature_names,
    'importance': feature_importance
}).sort_values('importance', ascending=True)

# Visualizar
plt.figure(figsize=(10, 6))
colors_imp = ['#f39c12' if f in cat_features_list else '#3498db'
              for f in imp_df_cat['feature']]
plt.barh(imp_df_cat['feature'], imp_df_cat['importance'], color=colors_imp)
plt.xlabel('Importance')
plt.title('Feature Importance en CatBoost\nNaranja = categórica, Azul = numérica')
plt.grid(axis='x', alpha=0.3)
plt.tight_layout()
plt.show()

print("\nFeature Importances:")
for feat, imp in zip(imp_df_cat['feature'], imp_df_cat['importance']):
    feat_type = 'categórica' if feat in cat_features_list else 'numérica'
    print(f"  {feat:20s} ({feat_type:11s}): {imp:8.2f}")

Feature importance en CatBoost

Feature Importances:
  age                  (numérica   ):     7.60
  location             (categórica ):    11.32
  years_experience     (numérica   ):    20.25
  department           (categórica ):    28.19
  education            (categórica ):    32.65

Demostremos la robustez de CatBoost con parámetros por defecto:

# Usar California Housing para comparación
housing_data = fetch_california_housing()
X_house = pd.DataFrame(housing_data.data, columns=housing_data.feature_names)
y_house = housing_data.target

X_train_house, X_test_house, y_train_house, y_test_house = train_test_split(
    X_house, y_house, test_size=0.2, random_state=42
)

# CatBoost con parámetros por defecto (casi)
print("Entrenando CatBoost (defaults)...")
start = time.time()
cat_default = CatBoostRegressor(
    iterations=200,  # Solo especificamos esto
    random_state=42,
    verbose=0
)
cat_default.fit(X_train_house, y_train_house)
time_cat_default = time.time() - start
score_cat_default = cat_default.score(X_test_house, y_test_house)

# XGBoost con parámetros "tuneados"
print("Entrenando XGBoost (tuned)...")
start = time.time()
xgb_tuned = xgb.XGBRegressor(
    n_estimators=200,
    learning_rate=0.1,
    max_depth=6,
    subsample=0.8,
    colsample_bytree=0.8,
    reg_alpha=0.1,
    reg_lambda=1.0,
    random_state=42,
    verbosity=0
)
xgb_tuned.fit(X_train_house, y_train_house)
time_xgb_tuned = time.time() - start
score_xgb_tuned = xgb_tuned.score(X_test_house, y_test_house)

# LightGBM con parámetros "tuneados"
print("Entrenando LightGBM (tuned)...")
start = time.time()
lgb_tuned = lgb.LGBMRegressor(
    n_estimators=200,
    learning_rate=0.1,
    num_leaves=31,
    min_data_in_leaf=20,
    feature_fraction=0.8,
    bagging_fraction=0.8,
    bagging_freq=5,
    random_state=42,
    verbose=-1
)
lgb_tuned.fit(X_train_house, y_train_house)
time_lgb_tuned = time.time() - start
score_lgb_tuned = lgb_tuned.score(X_test_house, y_test_house)

# Comparar
models_comp = ['CatBoost\n(default)', 'XGBoost\n(tuned)', 'LightGBM\n(tuned)']
times_comp = [time_cat_default, time_xgb_tuned, time_lgb_tuned]
scores_comp = [score_cat_default, score_xgb_tuned, score_lgb_tuned]

fig, axes = plt.subplots(1, 2, figsize=(12, 4))

# Scores
axes[0].bar(models_comp, scores_comp, color=['#f39c12', '#e74c3c', '#16a085'])
axes[0].set_ylabel('R² Score')
axes[0].set_title('Precisión del Modelo')
axes[0].set_ylim([0.75, 0.85])
for i, s in enumerate(scores_comp):
    axes[0].text(i, s + 0.005, f'{s:.4f}', ha='center')

# Times
axes[1].bar(models_comp, times_comp, color=['#f39c12', '#e74c3c', '#16a085'])
axes[1].set_ylabel('Tiempo (segundos)')
axes[1].set_title('Tiempo de Entrenamiento')
for i, t in enumerate(times_comp):
    axes[1].text(i, t + 0.05, f'{t:.2f}s', ha='center')

plt.tight_layout()
plt.show()

print("\nResultados:")
print(f"CatBoost (default):  R² = {score_cat_default:.4f}, {time_cat_default:.2f}s")
print(f"XGBoost (tuned):     R² = {score_xgb_tuned:.4f}, {time_xgb_tuned:.2f}s")
print(f"LightGBM (tuned):    R² = {score_lgb_tuned:.4f}, {time_lgb_tuned:.2f}s")
print("\nObserva que CatBoost es competitivo sin tuning!")
Entrenando CatBoost (defaults)...
Entrenando XGBoost (tuned)...
Entrenando LightGBM (tuned)...

CatBoost con defaults vs otros modelos con tuning

Resultados:
CatBoost (default):  R² = 0.8373, 0.24s
XGBoost (tuned):     R² = 0.8437, 0.28s
LightGBM (tuned):    R² = 0.8489, 0.64s

Observa que CatBoost es competitivo sin tuning!

Visualicemos learning curves con early stopping en CatBoost:

# Crear validation set
X_train_sub_house, X_val_house, y_train_sub_house, y_val_house = train_test_split(
    X_train_house, y_train_house, test_size=0.2, random_state=42
)

# Entrenar con eval_set
cat_eval = CatBoostRegressor(
    iterations=1000,
    learning_rate=0.05,
    random_state=42,
    verbose=0
)

cat_eval.fit(
    X_train_sub_house,
    y_train_sub_house,
    eval_set=(X_val_house, y_val_house),
    early_stopping_rounds=50,
    verbose=False
)

# Obtener métricas
train_rmse = cat_eval.evals_result_['learn']['RMSE']
val_rmse = cat_eval.evals_result_['validation']['RMSE']

# Visualizar
plt.figure(figsize=(10, 5))
plt.plot(train_rmse, label='Training RMSE', color='#3498db', alpha=0.8)
plt.plot(val_rmse, label='Validation RMSE', color='#e74c3c', alpha=0.8)
plt.axvline(
    x=cat_eval.best_iteration_,
    color='#2ecc71',
    linestyle='--',
    linewidth=2,
    label=f'Best iteration ({cat_eval.best_iteration_})'
)
plt.xlabel('Iteración')
plt.ylabel('RMSE')
plt.title('Learning Curves en CatBoost con Early Stopping')
plt.legend()
plt.grid(alpha=0.3)
plt.tight_layout()
plt.show()

print(f"Mejor iteración: {cat_eval.best_iteration_}")
print(f"Mejor RMSE de validación: {cat_eval.best_score_['validation']['RMSE']:.4f}")
print(f"Iteraciones ahorradas: {1000 - cat_eval.best_iteration_}")

Learning curves con early stopping en CatBoost
Mejor iteración: 989
Mejor RMSE de validación: 0.4691
Iteraciones ahorradas: 11
Cuándo usar CatBoost

Usa CatBoost cuando:

  • Tienes muchas features categóricas (especialmente high-cardinality)
  • No tienes tiempo para tuning extensivo de hiperparámetros
  • Necesitas un modelo robusto “out of the box”
  • Priorizas estabilidad y reproducibilidad
  • Vas a deployar a producción (árboles oblivious son muy eficientes)
  • Trabajas con datos donde el orden/tiempo importa (ordered boosting ayuda)
Ventajas de CatBoost para producción

CatBoost es particularmente bueno para sistemas de producción:

  1. Menos propenso a overfitting: Ordered boosting reduce el prediction shift
  2. Predicción rápida: Árboles oblivious permiten optimizaciones agresivas
  3. Manejo robusto de datos: Categorical features sin preprocesamiento
  4. Pocos hiperparámetros críticos: Menos cosas pueden salir mal
  5. Modelo más estable: Menos sensible a cambios en datos de entrada

CatBoost tiene soporte de GPU integrado, se activa automáticamente si está disponible o puedes especificar task_type='GPU'. :::

5.4 Análisis Comparativo

Ahora que hemos explorado XGBoost, LightGBM y CatBoost en detalle, realicemos un análisis comparativo comprehensivo para entender cuándo usar cada uno. Cada implementación tiene sus fortalezas y casos de uso ideales.

Tabla comparativa de características

Característica sklearn GB XGBoost LightGBM CatBoost
Velocidad de entrenamiento Lento (1x) Rápido (5-10x) Muy rápido (10-15x) Rápido (3-7x)
Velocidad de predicción Media Rápida Muy rápida Muy rápida
Uso de memoria Alto Medio Bajo Medio
Precisión (accuracy) Buena Excelente Excelente Excelente
Categorical features nativas No No* Sí (básico) Sí (avanzado)
Missing values handling No
Soporte GPU No
Regularización Básica Avanzada (L1+L2) Media (L1+L2) Muy avanzada
Hiperparámetros Pocos Muchos Muchos Medios
Facilidad de uso Fácil Media Media Fácil
Documentación Excelente Muy buena Buena Muy buena
Comunidad Grande Muy grande Grande Media-grande
Tuning requerido Bajo Alto Alto Bajo
Estabilidad Muy alta Alta Alta Muy alta

*XGBoost puede manejar categorías via one-hot encoding o con enable_categorical (experimental)

Benchmark comprehensivo

Realicemos un benchmark completo comparando las cuatro implementaciones en el mismo dataset:

from sklearn.ensemble import GradientBoostingRegressor
from sklearn.metrics import mean_squared_error, r2_score, mean_absolute_error
import time

# Usar California Housing para benchmark
X_bench, y_bench = X_house, y_house
X_train_bench, X_test_bench, y_train_bench, y_test_bench = train_test_split(
    X_bench, y_bench, test_size=0.2, random_state=42
)

# Configuración común
n_est = 200
lr = 0.1
depth = 5

results = {}

# 1. sklearn GradientBoosting
print("Benchmarking sklearn GradientBoosting...")
start = time.time()
gb_sk = GradientBoostingRegressor(
    n_estimators=n_est,
    learning_rate=lr,
    max_depth=depth,
    random_state=42
)
gb_sk.fit(X_train_bench, y_train_bench)
time_train_sk = time.time() - start

start = time.time()
y_pred_sk = gb_sk.predict(X_test_bench)
time_pred_sk = time.time() - start

results['sklearn'] = {
    'train_time': time_train_sk,
    'pred_time': time_pred_sk,
    'rmse': np.sqrt(mean_squared_error(y_test_bench, y_pred_sk)),
    'mae': mean_absolute_error(y_test_bench, y_pred_sk),
    'r2': r2_score(y_test_bench, y_pred_sk)
}

# 2. XGBoost
print("Benchmarking XGBoost...")
start = time.time()
xgb_bench = xgb.XGBRegressor(
    n_estimators=n_est,
    learning_rate=lr,
    max_depth=depth,
    random_state=42,
    verbosity=0
)
xgb_bench.fit(X_train_bench, y_train_bench)
time_train_xgb = time.time() - start

start = time.time()
y_pred_xgb = xgb_bench.predict(X_test_bench)
time_pred_xgb = time.time() - start

results['XGBoost'] = {
    'train_time': time_train_xgb,
    'pred_time': time_pred_xgb,
    'rmse': np.sqrt(mean_squared_error(y_test_bench, y_pred_xgb)),
    'mae': mean_absolute_error(y_test_bench, y_pred_xgb),
    'r2': r2_score(y_test_bench, y_pred_xgb)
}

# 3. LightGBM
print("Benchmarking LightGBM...")
start = time.time()
lgb_bench = lgb.LGBMRegressor(
    n_estimators=n_est,
    learning_rate=lr,
    num_leaves=2**depth - 1,  # Aproximadamente equivalente
    random_state=42,
    verbose=-1
)
lgb_bench.fit(X_train_bench, y_train_bench)
time_train_lgb = time.time() - start

start = time.time()
y_pred_lgb = lgb_bench.predict(X_test_bench)
time_pred_lgb = time.time() - start

results['LightGBM'] = {
    'train_time': time_train_lgb,
    'pred_time': time_pred_lgb,
    'rmse': np.sqrt(mean_squared_error(y_test_bench, y_pred_lgb)),
    'mae': mean_absolute_error(y_test_bench, y_pred_lgb),
    'r2': r2_score(y_test_bench, y_pred_lgb)
}

# 4. CatBoost
print("Benchmarking CatBoost...")
start = time.time()
cat_bench = CatBoostRegressor(
    iterations=n_est,
    learning_rate=lr,
    depth=depth,
    random_state=42,
    verbose=0
)
cat_bench.fit(X_train_bench, y_train_bench)
time_train_cat = time.time() - start

start = time.time()
y_pred_cat = cat_bench.predict(X_test_bench)
time_pred_cat = time.time() - start

results['CatBoost'] = {
    'train_time': time_train_cat,
    'pred_time': time_pred_cat,
    'rmse': np.sqrt(mean_squared_error(y_test_bench, y_pred_cat)),
    'mae': mean_absolute_error(y_test_bench, y_pred_cat),
    'r2': r2_score(y_test_bench, y_pred_cat)
}

# Visualizar resultados
fig, axes = plt.subplots(2, 2, figsize=(14, 10))
models = list(results.keys())
colors = ['#3498db', '#e74c3c', '#16a085', '#f39c12']

# Tiempo de entrenamiento
train_times = [results[m]['train_time'] for m in models]
axes[0, 0].bar(models, train_times, color=colors)
axes[0, 0].set_ylabel('Segundos')
axes[0, 0].set_title('Tiempo de Entrenamiento')
for i, t in enumerate(train_times):
    axes[0, 0].text(i, t + 0.1, f'{t:.2f}s', ha='center')
axes[0, 0].grid(axis='y', alpha=0.3)

# Tiempo de predicción (ms)
pred_times = [results[m]['pred_time'] * 1000 for m in models]
axes[0, 1].bar(models, pred_times, color=colors)
axes[0, 1].set_ylabel('Milisegundos')
axes[0, 1].set_title('Tiempo de Predicción')
for i, t in enumerate(pred_times):
    axes[0, 1].text(i, t + 0.5, f'{t:.1f}ms', ha='center')
axes[0, 1].grid(axis='y', alpha=0.3)

# RMSE
rmses = [results[m]['rmse'] for m in models]
axes[1, 0].bar(models, rmses, color=colors)
axes[1, 0].set_ylabel('RMSE')
axes[1, 0].set_title('Error (RMSE) - Menor es mejor')
for i, r in enumerate(rmses):
    axes[1, 0].text(i, r + 0.005, f'{r:.4f}', ha='center')
axes[1, 0].grid(axis='y', alpha=0.3)

# R² Score
r2s = [results[m]['r2'] for m in models]
axes[1, 1].bar(models, r2s, color=colors)
axes[1, 1].set_ylabel('R² Score')
axes[1, 1].set_title('Precisión (R²) - Mayor es mejor')
axes[1, 1].set_ylim([0.75, 0.85])
for i, r in enumerate(r2s):
    axes[1, 1].text(i, r + 0.003, f'{r:.4f}', ha='center')
axes[1, 1].grid(axis='y', alpha=0.3)

plt.tight_layout()
plt.show()

# Tabla resumen
print("\n" + "="*80)
print("RESUMEN DE BENCHMARK")
print("="*80)
print(f"{'Modelo':<15} {'Train (s)':<12} {'Pred (ms)':<12} {'RMSE':<10} {'MAE':<10} {'R²':<10}")
print("-"*80)
for model in models:
    r = results[model]
    print(f"{model:<15} {r['train_time']:>10.2f}  {r['pred_time']*1000:>10.1f}  "
          f"{r['rmse']:>9.4f}  {r['mae']:>9.4f}  {r['r2']:>9.4f}")
print("-"*80)

# Speedups relativos a sklearn
print(f"\nSpeedups relativos a sklearn GradientBoosting:")
for model in models[1:]:  # Skip sklearn
    speedup = results['sklearn']['train_time'] / results[model]['train_time']
    print(f"  {model}: {speedup:.2f}x más rápido")
Benchmarking sklearn GradientBoosting...
Benchmarking XGBoost...
Benchmarking LightGBM...
Benchmarking CatBoost...

Benchmark comprehensivo de las cuatro implementaciones de boosting

================================================================================
RESUMEN DE BENCHMARK
================================================================================
Modelo          Train (s)    Pred (ms)    RMSE       MAE        R²        
--------------------------------------------------------------------------------
sklearn               8.65        15.1     0.4736     0.3144     0.8288
XGBoost               0.22         2.5     0.4742     0.3124     0.8284
LightGBM              0.63         9.6     0.4483     0.2941     0.8466
CatBoost              0.19         0.9     0.4905     0.3313     0.8164
--------------------------------------------------------------------------------

Speedups relativos a sklearn GradientBoosting:
  XGBoost: 38.99x más rápido
  LightGBM: 13.79x más rápido
  CatBoost: 46.18x más rápido

Ahora veamos un análisis de acuerdo en predicciones entre los modelos:

# Crear DataFrame con todas las predicciones
predictions_df = pd.DataFrame({
    'True': y_test_bench,
    'sklearn': y_pred_sk,
    'XGBoost': y_pred_xgb,
    'LightGBM': y_pred_lgb,
    'CatBoost': y_pred_cat
})

# Calcular correlaciones entre predicciones
pred_corr = predictions_df.corr()

# Visualizar matriz de correlación
fig, axes = plt.subplots(1, 2, figsize=(14, 5))

# Heatmap de correlaciones
import matplotlib.pyplot as plt
from matplotlib.colors import LinearSegmentedColormap

im = axes[0].imshow(pred_corr, cmap='RdYlGn', vmin=0.95, vmax=1.0)
axes[0].set_xticks(range(len(pred_corr.columns)))
axes[0].set_yticks(range(len(pred_corr.columns)))
axes[0].set_xticklabels(pred_corr.columns, rotation=45, ha='right')
axes[0].set_yticklabels(pred_corr.columns)
axes[0].set_title('Correlación entre Predicciones')

# Anotar valores
for i in range(len(pred_corr)):
    for j in range(len(pred_corr)):
        text = axes[0].text(j, i, f'{pred_corr.iloc[i, j]:.4f}',
                           ha="center", va="center", color="black", fontsize=9)

plt.colorbar(im, ax=axes[0])

# Scatter plot comparando las implementaciones modernas
axes[1].scatter(y_pred_xgb, y_pred_lgb, alpha=0.3, s=20, label='XGB vs LGB', color='#3498db')
axes[1].scatter(y_pred_xgb, y_pred_cat, alpha=0.3, s=20, label='XGB vs Cat', color='#e74c3c')
axes[1].plot([y_test_bench.min(), y_test_bench.max()],
             [y_test_bench.min(), y_test_bench.max()],
             'k--', lw=2, label='Acuerdo perfecto')
axes[1].set_xlabel('XGBoost Predictions')
axes[1].set_ylabel('Other Model Predictions')
axes[1].set_title('Acuerdo entre Predicciones')
axes[1].legend()
axes[1].grid(alpha=0.3)

plt.tight_layout()
plt.show()

print("\nNivel de acuerdo entre modelos (correlación):")
print("Un valor cercano a 1.0 indica que los modelos hacen predicciones muy similares")
print("\nCorrelaciones con el valor verdadero:")
for model in ['sklearn', 'XGBoost', 'LightGBM', 'CatBoost']:
    corr = pred_corr.loc['True', model]
    print(f"  {model:12s}: {corr:.6f}")

Acuerdo entre predicciones de diferentes implementaciones

Nivel de acuerdo entre modelos (correlación):
Un valor cercano a 1.0 indica que los modelos hacen predicciones muy similares

Correlaciones con el valor verdadero:
  sklearn     : 0.910423
  XGBoost     : 0.910177
  LightGBM    : 0.920144
  CatBoost    : 0.903648

Finalmente, comparemos la estabilidad de feature importance:

# Obtener feature importances de cada modelo
importances_dict = {
    'XGBoost': xgb_bench.feature_importances_,
    'LightGBM': lgb_bench.feature_importances_,
    'CatBoost': cat_bench.feature_importances_
}

# Normalizar importances (suma = 1)
for model in importances_dict:
    importances_dict[model] = importances_dict[model] / importances_dict[model].sum()

# Crear DataFrame
imp_comparison = pd.DataFrame(importances_dict, index=X_bench.columns)

# Visualizar
fig, axes = plt.subplots(1, 2, figsize=(14, 5))

# Barras agrupadas
x = np.arange(len(imp_comparison))
width = 0.25

axes[0].bar(x - width, imp_comparison['XGBoost'], width,
           label='XGBoost', color='#e74c3c', alpha=0.8)
axes[0].bar(x, imp_comparison['LightGBM'], width,
           label='LightGBM', color='#16a085', alpha=0.8)
axes[0].bar(x + width, imp_comparison['CatBoost'], width,
           label='CatBoost', color='#f39c12', alpha=0.8)

axes[0].set_xlabel('Feature')
axes[0].set_ylabel('Importance (normalizada)')
axes[0].set_title('Comparación de Feature Importance')
axes[0].set_xticks(x)
axes[0].set_xticklabels(imp_comparison.index, rotation=45, ha='right')
axes[0].legend()
axes[0].grid(axis='y', alpha=0.3)

# Correlaciones entre importances
imp_corr = imp_comparison.corr()
im = axes[1].imshow(imp_corr, cmap='RdYlGn', vmin=0.8, vmax=1.0)
axes[1].set_xticks(range(len(imp_corr.columns)))
axes[1].set_yticks(range(len(imp_corr.columns)))
axes[1].set_xticklabels(imp_corr.columns, rotation=45, ha='right')
axes[1].set_yticklabels(imp_corr.columns)
axes[1].set_title('Correlación entre Feature Importances')

for i in range(len(imp_corr)):
    for j in range(len(imp_corr)):
        text = axes[1].text(j, i, f'{imp_corr.iloc[i, j]:.3f}',
                           ha="center", va="center", color="black", fontsize=11)

plt.colorbar(im, ax=axes[1])
plt.tight_layout()
plt.show()

print("\nTop 3 features por modelo:")
for model in ['XGBoost', 'LightGBM', 'CatBoost']:
    top_3 = imp_comparison[model].nlargest(3)
    print(f"\n{model}:")
    for feat, imp in top_3.items():
        print(f"  {feat:15s}: {imp:.4f}")

Comparación de feature importance entre implementaciones

Top 3 features por modelo:

XGBoost:
  MedInc         : 0.5489
  AveOccup       : 0.1422
  Longitude      : 0.0860

LightGBM:
  Longitude      : 0.1907
  Latitude       : 0.1903
  AveOccup       : 0.1288

CatBoost:
  MedInc         : 0.3878
  Latitude       : 0.2043
  Longitude      : 0.1733

Guía de selección

Con base en el análisis anterior, aquí hay una guía para elegir la implementación adecuada:

Elige XGBoost si:

  • 🎯 Uso general: Es tu primera vez con boosting avanzado
  • 🏆 Competencias: Participas en Kaggle u otras competencias
  • 📚 Documentación: Necesitas documentación extensa y ejemplos
  • 🔧 Flexibilidad: Quieres custom objectives o métricas personalizadas
  • 👥 Comunidad: Prefieres la comunidad más grande y establecida
  • ⚖️ Balance: Necesitas buen balance entre velocidad y precisión

Elige LightGBM si:

  • Velocidad: La velocidad de entrenamiento es crítica
  • 📊 Datos grandes: Tienes >50,000 muestras y >100 features
  • 💾 Memoria limitada: Tienes restricciones de memoria
  • 🔄 Iteración rápida: Necesitas experimentar con muchos modelos
  • 🎛️ AutoML: Estás construyendo sistemas de AutoML
  • 📈 Sparse features: Tienes features muy sparse

Elige CatBoost si:

  • 🏷️ Categorías: Tienes muchas features categóricas (especialmente high-cardinality)
  • ⏱️ Poco tiempo: No tienes tiempo para tuning extensivo
  • 🎯 Defaults robustos: Quieres buenos resultados sin mucho esfuerzo
  • 🚀 Producción: Vas a deployar a producción (predicción rápida)
  • 🔒 Estabilidad: Priorizas reproducibilidad y estabilidad
  • 📦 Out-of-the-box: Prefieres que “funcione bien” desde el inicio
Estrategia práctica

En la práctica, muchos científicos de datos prueban las tres implementaciones modernas (XGBoost, LightGBM, CatBoost) y seleccionan la que mejor funciona para su problema específico. Las diferencias de rendimiento suelen ser pequeñas, pero consistentes.

Una buena estrategia es:

  1. Comenzar con CatBoost (defaults robustos)
  2. Si la velocidad es un problema, probar LightGBM
  3. Si necesitas más control/flexibilidad, probar XGBoost
  4. Comparar los tres con cross-validation
Ensemble de ensembles

Un enfoque avanzado es usar stacking o voting combinando XGBoost, LightGBM y CatBoost. Como sus predicciones están altamente correlacionadas pero no son idénticas, un meta-modelo puede aprender a combinarlas efectivamente, típicamente ganando 0.5-1% en accuracy.

from sklearn.ensemble import VotingRegressor

voting = VotingRegressor([
    ('xgb', xgb_model),
    ('lgb', lgb_model),
    ('cat', cat_model)
])

Recomendaciones finales

Para comenzar: Usa XGBoost. Tiene el mejor balance entre rendimiento, documentación y comunidad.

Para producción: CatBoost o LightGBM, dependiendo de si tienes muchas categorías (CatBoost) o priorizas velocidad (LightGBM).

Para competencias: Prueba los tres y combínalos con stacking o voting.

Para aprendizaje: Empieza con sklearn GradientBoosting para entender conceptos, luego pasa a las implementaciones modernas.

Independientemente de la elección, todos estos métodos son órdenes de magnitud mejores que modelos simples para la mayoría de problemas de datos tabulares, y la diferencia entre ellos es típicamente menor que la diferencia que puedes lograr con mejor ingeniería de features o más datos.

6. Hiperparámetros y Regularización

Los algoritmos de boosting tienen numerosos hiperparámetros que controlan el comportamiento del modelo. Entender qué hace cada uno y cómo afectan el rendimiento es crucial para usar boosting efectivamente. En esta sección exploraremos los hiperparámetros más importantes y su impacto en el aprendizaje del modelo.

A diferencia de Random Forest que es relativamente robusto a la elección de hiperparámetros, los modelos de boosting son más sensibles y requieren más atención. Sin embargo, esta sensibilidad también permite un control más fino del comportamiento del modelo.

Sobre la optimización de hiperparámetros

En esta sección nos enfocaremos en entender qué hace cada hiperparámetro y visualizar sus efectos. Las técnicas de optimización sistemática de hiperparámetros (Grid Search, Random Search, Bayesian Optimization) se cubrirán en un capítulo posterior dedicado a este tema.

6.1 Learning Rate (Tasa de Aprendizaje)

El learning rate (también llamado \(\eta\) o eta en XGBoost, learning_rate en sklearn/LightGBM/CatBoost) es probablemente el hiperparámetro más importante en boosting. Controla cuánto contribuye cada árbol nuevo al modelo total.

Fórmula: \[F_m(x) = F_{m-1}(x) + \nu \cdot h_m(x)\]

donde \(\nu\) es el learning rate (típicamente entre 0.01 y 0.3).

Intuición: - Learning rate bajo (e.g., 0.01): Cada árbol hace correcciones pequeñas → aprendizaje lento pero cuidadoso - Learning rate alto (e.g., 0.5-1.0): Cada árbol hace correcciones grandes → aprendizaje rápido pero puede sobreajustar

Trade-off fundamental: - Learning rate bajo + muchos árboles = mejor generalización, más tiempo de entrenamiento - Learning rate alto + pocos árboles = rápido pero puede sobreajustar

Visualicemos el efecto del learning rate:

# Crear dataset para visualización
np.random.seed(42)
X_lr = np.linspace(0, 10, 200).reshape(-1, 1)
y_lr = np.sin(X_lr).ravel() + np.random.normal(0, 0.2, X_lr.shape[0])

X_train_lr, X_test_lr, y_train_lr, y_test_lr = train_test_split(
    X_lr, y_lr, test_size=0.3, random_state=42
)

# Probar diferentes learning rates
learning_rates = [0.01, 0.05, 0.1, 0.3, 1.0]
n_estimators_fixed = 100

fig, axes = plt.subplots(2, 3, figsize=(15, 10))
axes = axes.ravel()

for idx, lr in enumerate(learning_rates):
    # Entrenar modelo
    model = xgb.XGBRegressor(
        n_estimators=n_estimators_fixed,
        learning_rate=lr,
        max_depth=3,
        random_state=42,
        verbosity=0
    )

    # Fit con eval_set para obtener curvas
    model.fit(
        X_train_lr, y_train_lr,
        eval_set=[(X_train_lr, y_train_lr), (X_test_lr, y_test_lr)],
        verbose=False
    )

    # Obtener errores por iteración
    results = model.evals_result()
    train_rmse = np.sqrt(results['validation_0']['rmse'])
    test_rmse = np.sqrt(results['validation_1']['rmse'])

    # Plot learning curves
    axes[idx].plot(train_rmse, label='Train', color='#3498db', linewidth=2)
    axes[idx].plot(test_rmse, label='Test', color='#e74c3c', linewidth=2)
    axes[idx].set_xlabel('Número de árboles')
    axes[idx].set_ylabel('RMSE')
    axes[idx].set_title(f'Learning Rate = {lr}')
    axes[idx].legend()
    axes[idx].grid(alpha=0.3)

    # Indicar si hay overfitting
    if test_rmse[-1] > test_rmse.min() * 1.05:
        axes[idx].axvline(x=np.argmin(test_rmse), color='green',
                         linestyle='--', alpha=0.7, label='Óptimo')

# Remover último subplot vacío
fig.delaxes(axes[-1])
plt.tight_layout()
plt.show()

print("Observaciones:")
print("- Learning rate muy bajo (0.01): Aprende lentamente, necesita más árboles")
print("- Learning rate bajo-medio (0.05-0.1): Balance óptimo para este problema")
print("- Learning rate alto (0.3-1.0): Aprende rápido pero sobreajusta")

Efecto del learning rate en el aprendizaje
Observaciones:
- Learning rate muy bajo (0.01): Aprende lentamente, necesita más árboles
- Learning rate bajo-medio (0.05-0.1): Balance óptimo para este problema
- Learning rate alto (0.3-1.0): Aprende rápido pero sobreajusta

Ahora veamos el trade-off entre learning rate y número de estimadores:

# Combinaciones de learning rate y n_estimators
# Mantenemos el "presupuesto" de aprendizaje similar
configs = [
    {'lr': 0.01, 'n_est': 500, 'label': 'lr=0.01, n=500'},
    {'lr': 0.05, 'n_est': 100, 'label': 'lr=0.05, n=100'},
    {'lr': 0.1, 'n_est': 50, 'label': 'lr=0.1, n=50'},
    {'lr': 0.3, 'n_est': 20, 'label': 'lr=0.3, n=20'},
]

fig, axes = plt.subplots(1, 2, figsize=(14, 5))
colors = ['#3498db', '#2ecc71', '#f39c12', '#e74c3c']

for idx, config in enumerate(configs):
    model = xgb.XGBRegressor(
        n_estimators=config['n_est'],
        learning_rate=config['lr'],
        max_depth=3,
        random_state=42,
        verbosity=0
    )

    model.fit(
        X_train_lr, y_train_lr,
        eval_set=[(X_train_lr, y_train_lr), (X_test_lr, y_test_lr)],
        verbose=False
    )

    results = model.evals_result()
    test_rmse = np.sqrt(results['validation_1']['rmse'])

    # Plot 1: RMSE vs iterations
    axes[0].plot(test_rmse, label=config['label'],
                color=colors[idx], linewidth=2)

    # Plot 2: Final performance
    axes[1].bar(idx, test_rmse[-1], color=colors[idx], alpha=0.7)
    axes[1].text(idx, test_rmse[-1] + 0.01,
                f"{test_rmse[-1]:.3f}", ha='center')

axes[0].set_xlabel('Número de árboles')
axes[0].set_ylabel('Test RMSE')
axes[0].set_title('Curvas de Aprendizaje: LR vs N_estimators')
axes[0].legend()
axes[0].grid(alpha=0.3)

axes[1].set_xticks(range(len(configs)))
axes[1].set_xticklabels([c['label'] for c in configs], rotation=45, ha='right')
axes[1].set_ylabel('RMSE Final')
axes[1].set_title('Rendimiento Final')
axes[1].grid(axis='y', alpha=0.3)

plt.tight_layout()
plt.show()

print("\nConclusión:")
print("Un learning rate más bajo con más árboles generalmente produce mejor")
print("generalización, aunque requiere más tiempo de entrenamiento.")

Trade-off entre learning rate y número de estimadores

Conclusión:
Un learning rate más bajo con más árboles generalmente produce mejor
generalización, aunque requiere más tiempo de entrenamiento.
Regla práctica para learning rate
  • Desarrollo/experimentación: Usa learning_rate=0.1 con ~100 árboles para iterar rápido
  • Producción final: Reduce a learning_rate=0.01-0.05 con más árboles (500-1000+) para mejor rendimiento
  • Early stopping: Usa un learning rate bajo con muchos árboles y deja que early stopping encuentre el número óptimo

6.2 Número de Estimadores y Early Stopping

El número de estimadores (n_estimators, iterations) determina cuántos árboles secuenciales se construirán. Más árboles significan: - ✅ Modelo más expresivo, puede capturar patrones más complejos - ❌ Mayor riesgo de overfitting - ❌ Mayor tiempo de entrenamiento

Early Stopping es una técnica crucial que automáticamente detiene el entrenamiento cuando el rendimiento en un conjunto de validación deja de mejorar.

# Usar California Housing para ejemplo más realista
X_es, y_es = fetch_california_housing(return_X_y=True)
X_train_es, X_temp, y_train_es, y_temp = train_test_split(
    X_es, y_es, test_size=0.3, random_state=42
)
X_val_es, X_test_es, y_val_es, y_test_es = train_test_split(
    X_temp, y_temp, test_size=0.5, random_state=42
)

# Modelo sin early stopping
model_no_es = xgb.XGBRegressor(
    n_estimators=500,
    learning_rate=0.1,
    max_depth=5,
    random_state=42,
    verbosity=0
)

model_no_es.fit(
    X_train_es, y_train_es,
    eval_set=[(X_train_es, y_train_es), (X_val_es, y_val_es)],
    verbose=False
)

# Modelo con early stopping
model_with_es = xgb.XGBRegressor(
    n_estimators=500,
    learning_rate=0.1,
    max_depth=5,
    early_stopping_rounds=20,
    random_state=42,
    verbosity=0
)

model_with_es.fit(
    X_train_es, y_train_es,
    eval_set=[(X_train_es, y_train_es), (X_val_es, y_val_es)],
    verbose=False
)

# Comparar resultados
results_no_es = model_no_es.evals_result()
results_with_es = model_with_es.evals_result()

fig, axes = plt.subplots(1, 2, figsize=(14, 5))

# Sin early stopping
train_rmse_no = np.sqrt(results_no_es['validation_0']['rmse'])
val_rmse_no = np.sqrt(results_no_es['validation_1']['rmse'])

axes[0].plot(train_rmse_no, label='Train', color='#3498db', linewidth=2)
axes[0].plot(val_rmse_no, label='Validation', color='#e74c3c', linewidth=2)
axes[0].axvline(x=np.argmin(val_rmse_no), color='green',
               linestyle='--', linewidth=2, label=f'Óptimo (iter {np.argmin(val_rmse_no)})')
axes[0].set_xlabel('Número de árboles')
axes[0].set_ylabel('RMSE')
axes[0].set_title('Sin Early Stopping')
axes[0].legend()
axes[0].grid(alpha=0.3)

# Con early stopping
train_rmse_with = np.sqrt(results_with_es['validation_0']['rmse'])
val_rmse_with = np.sqrt(results_with_es['validation_1']['rmse'])

axes[1].plot(train_rmse_with, label='Train', color='#3498db', linewidth=2)
axes[1].plot(val_rmse_with, label='Validation', color='#e74c3c', linewidth=2)
axes[1].axvline(x=model_with_es.best_iteration, color='green',
               linestyle='--', linewidth=2,
               label=f'Paró en iter {model_with_es.best_iteration}')
axes[1].set_xlabel('Número de árboles')
axes[1].set_ylabel('RMSE')
axes[1].set_title('Con Early Stopping (20 rondas)')
axes[1].legend()
axes[1].grid(alpha=0.3)

plt.tight_layout()
plt.show()

# Evaluar en test set
y_pred_no_es = model_no_es.predict(X_test_es)
y_pred_with_es = model_with_es.predict(X_test_es)

rmse_no_es = np.sqrt(mean_squared_error(y_test_es, y_pred_no_es))
rmse_with_es = np.sqrt(mean_squared_error(y_test_es, y_pred_with_es))

print(f"\nRendimiento en Test Set:")
print(f"Sin early stopping:  RMSE = {rmse_no_es:.4f} (usó 500 árboles)")
print(f"Con early stopping:  RMSE = {rmse_with_es:.4f} (usó {model_with_es.best_iteration} árboles)")
print(f"\nÁrboles ahorrados: {500 - model_with_es.best_iteration}")
print(f"Mejora en RMSE: {((rmse_no_es - rmse_with_es) / rmse_no_es * 100):.2f}%")

Early stopping previene overfitting automáticamente

Rendimiento en Test Set:
Sin early stopping:  RMSE = 0.4421 (usó 500 árboles)
Con early stopping:  RMSE = 0.4421 (usó 499 árboles)

Árboles ahorrados: 1
Mejora en RMSE: 0.00%
Recomendación para early stopping

Siempre usa early stopping en producción:

  1. Configura n_estimators alto (500-2000)
  2. Usa early_stopping_rounds=20-50 (más alto si usas learning rate muy bajo)
  3. Proporciona un conjunto de validación separado
  4. El modelo se detendrá automáticamente en el punto óptimo

Esto previene overfitting y ahorra tiempo de entrenamiento sin necesidad de adivinar el número óptimo de árboles.

6.3 Parámetros de Estructura del Árbol

Los parámetros que controlan la estructura de cada árbol individual son cruciales para el balance bias-variance.

Principales parámetros:

  • max_depth: Profundidad máxima de cada árbol (típicamente 3-10)
  • min_child_weight (XGBoost) / min_samples_leaf (sklearn): Mínimo de muestras en una hoja
  • min_samples_split (sklearn/LightGBM): Mínimo de muestras para dividir un nodo
  • num_leaves (LightGBM): Número máximo de hojas (específico de leaf-wise growth)

Intuición: - Árboles poco profundos (depth 1-3): Alto bias, bajo variance → underfitting potencial - Árboles profundos (depth 8-15): Bajo bias, alto variance → overfitting potencial - Boosting típicamente usa árboles poco profundos (weak learners) para reducir bias gradualmente

# Probar diferentes profundidades
depths = [1, 2, 3, 5, 7, 10]
n_est = 100

fig, axes = plt.subplots(2, 3, figsize=(15, 10))
axes = axes.ravel()

for idx, depth in enumerate(depths):
    model = xgb.XGBRegressor(
        n_estimators=n_est,
        learning_rate=0.1,
        max_depth=depth,
        random_state=42,
        verbosity=0
    )

    model.fit(
        X_train_es, y_train_es,
        eval_set=[(X_train_es, y_train_es), (X_val_es, y_val_es)],
        verbose=False
    )

    results = model.evals_result()
    train_rmse = np.sqrt(results['validation_0']['rmse'])
    val_rmse = np.sqrt(results['validation_1']['rmse'])

    axes[idx].plot(train_rmse, label='Train', color='#3498db', linewidth=2)
    axes[idx].plot(val_rmse, label='Validation', color='#e74c3c', linewidth=2)
    axes[idx].set_xlabel('Número de árboles')
    axes[idx].set_ylabel('RMSE')
    axes[idx].set_title(f'max_depth = {depth}')
    axes[idx].legend()
    axes[idx].grid(alpha=0.3)

    # Calcular gap entre train y validation (overfitting)
    gap = train_rmse[-1] - val_rmse[-1]
    axes[idx].text(0.02, 0.98, f'Gap: {gap:.3f}',
                   transform=axes[idx].transAxes,
                   va='top', bbox=dict(boxstyle='round', facecolor='wheat', alpha=0.5))

plt.tight_layout()
plt.show()

print("\nObservaciones:")
print("- depth=1 (stumps): Underfitting, alto error en train y validation")
print("- depth=2-3: Buen balance, bajo overfitting")
print("- depth=5-7: Empieza a sobreajustar (gap train-validation aumenta)")
print("- depth=10: Severo overfitting, excelente en train, pobre en validation")

Efecto de la profundidad del árbol en el aprendizaje

Observaciones:
- depth=1 (stumps): Underfitting, alto error en train y validation
- depth=2-3: Buen balance, bajo overfitting
- depth=5-7: Empieza a sobreajustar (gap train-validation aumenta)
- depth=10: Severo overfitting, excelente en train, pobre en validation

Visualicemos el efecto en decision boundaries (problema de clasificación 2D):

# Crear dataset 2D para visualización
from sklearn.datasets import make_circles

X_circles, y_circles = make_circles(n_samples=500, noise=0.2, factor=0.5, random_state=42)

depths_viz = [1, 2, 3, 5]
fig, axes = plt.subplots(1, 4, figsize=(16, 4))

for idx, depth in enumerate(depths_viz):
    # Entrenar modelo
    model = xgb.XGBClassifier(
        n_estimators=50,
        learning_rate=0.3,
        max_depth=depth,
        random_state=42,
        verbosity=0
    )
    model.fit(X_circles, y_circles)

    # Crear grid para decision boundary
    x_min, x_max = X_circles[:, 0].min() - 0.5, X_circles[:, 0].max() + 0.5
    y_min, y_max = X_circles[:, 1].min() - 0.5, X_circles[:, 1].max() + 0.5
    xx, yy = np.meshgrid(np.linspace(x_min, x_max, 200),
                         np.linspace(y_min, y_max, 200))

    Z = model.predict(np.c_[xx.ravel(), yy.ravel()])
    Z = Z.reshape(xx.shape)

    # Plot
    axes[idx].contourf(xx, yy, Z, alpha=0.3, cmap='RdYlBu')
    axes[idx].scatter(X_circles[:, 0], X_circles[:, 1], c=y_circles,
                     cmap='RdYlBu', edgecolor='black', s=30, alpha=0.7)
    axes[idx].set_title(f'max_depth = {depth}\nAcc: {model.score(X_circles, y_circles):.3f}')
    axes[idx].set_xlabel('Feature 1')
    axes[idx].set_ylabel('Feature 2')

plt.tight_layout()
plt.show()

print("\nInterpretación:")
print("- depth=1: Decision boundary muy simple, underfitting")
print("- depth=2-3: Captura el patrón circular razonablemente")
print("- depth=5: Boundary muy compleja, puede sobreajustar a ruido")

Decision boundaries con diferentes profundidades de árbol

Interpretación:
- depth=1: Decision boundary muy simple, underfitting
- depth=2-3: Captura el patrón circular razonablemente
- depth=5: Boundary muy compleja, puede sobreajustar a ruido
Valores típicos recomendados

Para la mayoría de problemas, estos son buenos puntos de partida:

  • max_depth: 3-6 (XGBoost/sklearn), 5-8 (CatBoost con árboles oblivious)
  • num_leaves: 20-50 (LightGBM)
  • min_child_weight: 1-5 (más alto para datos ruidosos)
  • min_samples_leaf: 5-20 (sklearn)

Árboles más profundos pueden ser útiles con: - Datasets muy grandes (>100k muestras) - Muchas features informativas - Relaciones muy complejas - Cuando usas learning rate muy bajo y mucha regularización

6.4 Subsampling (Stochastic Gradient Boosting)

Similar a Random Forest, podemos añadir randomness al boosting muestreando observaciones y features. Esto reduce overfitting y puede acelerar el entrenamiento.

Parámetros de subsampling:

  • subsample / bagging_fraction: Fracción de observaciones a usar por árbol (0.5-1.0)
  • colsample_bytree / feature_fraction: Fracción de features a usar por árbol
  • colsample_bylevel: Fracción de features por nivel del árbol (XGBoost)
# Configuraciones de subsample
subsample_configs = [
    {'subsample': 1.0, 'colsample': 1.0, 'label': 'Sin subsample'},
    {'subsample': 0.8, 'colsample': 1.0, 'label': 'Row subsample 0.8'},
    {'subsample': 1.0, 'colsample': 0.8, 'label': 'Col subsample 0.8'},
    {'subsample': 0.8, 'colsample': 0.8, 'label': 'Both subsample 0.8'},
]

fig, axes = plt.subplots(2, 2, figsize=(14, 10))
axes = axes.ravel()

for idx, config in enumerate(subsample_configs):
    model = xgb.XGBRegressor(
        n_estimators=200,
        learning_rate=0.1,
        max_depth=6,  # Más profundo para ver efecto
        subsample=config['subsample'],
        colsample_bytree=config['colsample'],
        random_state=42,
        verbosity=0
    )

    model.fit(
        X_train_es, y_train_es,
        eval_set=[(X_train_es, y_train_es), (X_val_es, y_val_es)],
        verbose=False
    )

    results = model.evals_result()
    train_rmse = np.sqrt(results['validation_0']['rmse'])
    val_rmse = np.sqrt(results['validation_1']['rmse'])

    axes[idx].plot(train_rmse, label='Train', color='#3498db', linewidth=2, alpha=0.7)
    axes[idx].plot(val_rmse, label='Validation', color='#e74c3c', linewidth=2)
    axes[idx].set_xlabel('Número de árboles')
    axes[idx].set_ylabel('RMSE')
    axes[idx].set_title(config['label'])
    axes[idx].legend()
    axes[idx].grid(alpha=0.3)

    # Mostrar gap
    gap = train_rmse[-1] - val_rmse[-1]
    axes[idx].text(0.98, 0.98, f'Overfitting gap: {gap:.3f}',
                   transform=axes[idx].transAxes,
                   ha='right', va='top',
                   bbox=dict(boxstyle='round', facecolor='yellow', alpha=0.5))

plt.tight_layout()
plt.show()

print("\nEfecto del subsampling:")
print("- Sin subsample: Overfitting más pronunciado (gap grande)")
print("- Con subsample: Reduce overfitting (gap menor)")
print("- Subsample en rows y columns: Máxima regularización")
print("\nEl subsample añade randomness que ayuda a generalizar mejor")

Efecto del subsampling en reducción de overfitting

Efecto del subsampling:
- Sin subsample: Overfitting más pronunciado (gap grande)
- Con subsample: Reduce overfitting (gap menor)
- Subsample en rows y columns: Máxima regularización

El subsample añade randomness que ayuda a generalizar mejor
Recomendaciones para subsampling
  • subsample=0.8: Buen balance entre velocidad y precisión
  • colsample_bytree=0.8-1.0: Especialmente útil con muchas features
  • Beneficios adicionales:
    • Reduce overfitting (efecto de regularización)
    • Acelera entrenamiento (procesa menos datos por árbol)
    • Añade diversity entre árboles (similar a Random Forest)

No uses valores muy bajos (<0.5) a menos que tengas un dataset muy grande.

6.5 Regularización

Los parámetros de regularización penalizan la complejidad del modelo, ayudando a prevenir overfitting.

Parámetros principales:

  • lambda / reg_lambda / l2_leaf_reg: Regularización L2 en pesos de hojas
  • alpha / reg_alpha: Regularización L1 en pesos de hojas
  • gamma / min_split_loss: Ganancia mínima requerida para hacer un split
# Probar diferentes valores de lambda (L2 regularization)
lambda_values = [0, 0.1, 1, 5, 10]

fig, axes = plt.subplots(2, 3, figsize=(15, 10))
axes = axes.ravel()

for idx, lam in enumerate(lambda_values):
    model = xgb.XGBRegressor(
        n_estimators=150,
        learning_rate=0.1,
        max_depth=6,  # Árbol profundo para ver regularización
        reg_lambda=lam,
        random_state=42,
        verbosity=0
    )

    model.fit(
        X_train_es, y_train_es,
        eval_set=[(X_train_es, y_train_es), (X_val_es, y_val_es)],
        verbose=False
    )

    results = model.evals_result()
    train_rmse = np.sqrt(results['validation_0']['rmse'])
    val_rmse = np.sqrt(results['validation_1']['rmse'])

    axes[idx].plot(train_rmse, label='Train', color='#3498db', linewidth=2)
    axes[idx].plot(val_rmse, label='Validation', color='#e74c3c', linewidth=2)
    axes[idx].set_xlabel('Número de árboles')
    axes[idx].set_ylabel('RMSE')
    axes[idx].set_title(f'lambda = {lam}')
    axes[idx].legend()
    axes[idx].grid(alpha=0.3)

    # Mejor validation RMSE
    best_val = np.min(val_rmse)
    axes[idx].text(0.02, 0.02, f'Best val: {best_val:.4f}',
                   transform=axes[idx].transAxes,
                   bbox=dict(boxstyle='round', facecolor='lightgreen', alpha=0.5))

# Remover subplot vacío
fig.delaxes(axes[-1])
plt.tight_layout()
plt.show()

print("\nEfecto de la regularización L2 (lambda):")
print("- lambda=0: Sin regularización, puede sobreajustar")
print("- lambda=0.1-1: Regularización moderada, buen balance")
print("- lambda=5-10: Regularización fuerte, puede underfit")
print("\nLa regularización hace el modelo más conservador y robusto")

Efecto de la regularización L2 en el aprendizaje

Efecto de la regularización L2 (lambda):
- lambda=0: Sin regularización, puede sobreajustar
- lambda=0.1-1: Regularización moderada, buen balance
- lambda=5-10: Regularización fuerte, puede underfit

La regularización hace el modelo más conservador y robusto

Comparemos L1 vs L2 regularization:

configs_reg = [
    {'alpha': 0, 'lambda': 0, 'label': 'Sin regularización'},
    {'alpha': 0, 'lambda': 1, 'label': 'L2 (lambda=1)'},
    {'alpha': 1, 'lambda': 0, 'label': 'L1 (alpha=1)'},
    {'alpha': 1, 'lambda': 1, 'label': 'L1 + L2 (elastic net)'},
]

fig, axes = plt.subplots(1, 2, figsize=(14, 5))
colors_reg = ['#e74c3c', '#3498db', '#2ecc71', '#f39c12']

# Entrenar modelos y comparar
results_summary = []

for idx, config in enumerate(configs_reg):
    model = xgb.XGBRegressor(
        n_estimators=150,
        learning_rate=0.1,
        max_depth=6,
        reg_alpha=config['alpha'],
        reg_lambda=config['lambda'],
        random_state=42,
        verbosity=0
    )

    model.fit(
        X_train_es, y_train_es,
        eval_set=[(X_val_es, y_val_es)],
        verbose=False
    )

    # Evaluar en test
    y_pred = model.predict(X_test_es)
    test_rmse = np.sqrt(mean_squared_error(y_test_es, y_pred))

    # Feature sparsity (cuántas features tienen importancia ~0)
    importances = model.feature_importances_
    sparsity = np.sum(importances < 0.001) / len(importances) * 100

    results_summary.append({
        'label': config['label'],
        'test_rmse': test_rmse,
        'sparsity': sparsity
    })

# Plot 1: Test RMSE
test_rmses = [r['test_rmse'] for r in results_summary]
axes[0].bar(range(len(results_summary)), test_rmses, color=colors_reg, alpha=0.7)
axes[0].set_xticks(range(len(results_summary)))
axes[0].set_xticklabels([r['label'] for r in results_summary], rotation=45, ha='right')
axes[0].set_ylabel('Test RMSE')
axes[0].set_title('Rendimiento en Test Set')
axes[0].grid(axis='y', alpha=0.3)
for i, rmse in enumerate(test_rmses):
    axes[0].text(i, rmse + 0.005, f'{rmse:.4f}', ha='center')

# Plot 2: Feature sparsity
sparsities = [r['sparsity'] for r in results_summary]
axes[1].bar(range(len(results_summary)), sparsities, color=colors_reg, alpha=0.7)
axes[1].set_xticks(range(len(results_summary)))
axes[1].set_xticklabels([r['label'] for r in results_summary], rotation=45, ha='right')
axes[1].set_ylabel('% Features con importancia ~0')
axes[1].set_title('Sparsity de Features (Feature Selection)')
axes[1].grid(axis='y', alpha=0.3)
for i, sp in enumerate(sparsities):
    axes[1].text(i, sp + 1, f'{sp:.1f}%', ha='center')

plt.tight_layout()
plt.show()

print("\nDiferencias entre L1 y L2:")
print("- L2 (Ridge): Reduce magnitud de todos los pesos proporcionalmente")
print("- L1 (Lasso): Puede llevar algunos pesos exactamente a 0 (feature selection)")
print("- L1 + L2 (Elastic Net): Combina ambos beneficios")

Comparación entre regularización L1 y L2

Diferencias entre L1 y L2:
- L2 (Ridge): Reduce magnitud de todos los pesos proporcionalmente
- L1 (Lasso): Puede llevar algunos pesos exactamente a 0 (feature selection)
- L1 + L2 (Elastic Net): Combina ambos beneficios
Cuándo usar más regularización

Aumenta la regularización cuando observes:

  • Gap grande entre training y validation error
  • El modelo es muy sensible a cambios pequeños en datos
  • Tienes muchas features de baja calidad o ruidosas
  • Dataset pequeño (<1000 muestras)

Reduce la regularización cuando:

  • Training error es alto (underfitting)
  • Tienes un dataset muy grande y limpio
  • Las features son todas informativas

6.6 Resumen de Hiperparámetros

Tabla resumen de efectos:

Hiperparámetro ↑ Aumentar el valor ↓ Disminuir el valor
learning_rate Aprende más rápido, puede sobreajustar Aprende más lento, mejor generalización
n_estimators Más expresivo, riesgo de overfit Más rápido, puede underfit
max_depth Árboles más complejos, puede overfit Árboles simples, puede underfit
subsample Usa más datos, menos randomness Más regularización, más rápido
colsample_bytree Usa más features, menos randomness Más regularización por feature
lambda (L2) Más regularización (conservador) Menos regularización (flexible)
alpha (L1) Más sparsity (feature selection) Menos sparsity
min_child_weight Hojas más pobladas (conservador) Hojas más específicas (flexible)

Configuración típica “robusta” para empezar:

# Configuración conservadora que generalmente funciona bien
model = xgb.XGBRegressor(
    n_estimators=1000,          # Alto, early stopping decidirá
    learning_rate=0.05,         # Moderado
    max_depth=5,                # Ni muy profundo ni muy shallow
    subsample=0.8,              # Un poco de randomness
    colsample_bytree=0.8,       # Un poco de randomness
    reg_lambda=1,               # Regularización L2 moderada
    reg_alpha=0,                # Sin L1 por defecto
    min_child_weight=3,         # Hojas no demasiado pequeñas
    early_stopping_rounds=50,   # Parar cuando deje de mejorar
    random_state=42
)
Siguiente paso: Optimización sistemática

En esta sección hemos aprendido qué hace cada hiperparámetro y cómo afecta al modelo. Para problemas reales, querrás encontrar la mejor combinación de hiperparámetros para tus datos específicos.

Las técnicas de optimización sistemática de hiperparámetros (Grid Search, Random Search, Bayesian Optimization, Optuna, etc.) se cubrirán en detalle en un capítulo posterior dedicado a este tema.

7. Conclusiones

Los métodos de boosting representan uno de los avances más significativos en machine learning supervisado de las últimas décadas. A lo largo de este capítulo, hemos explorado desde los fundamentos teóricos hasta las implementaciones modernas más utilizadas en la industria.

Puntos clave

1. El concepto fundamental de boosting

Boosting es un método de aprendizaje secuencial que construye un modelo fuerte combinando múltiples modelos débiles. A diferencia de bagging y Random Forest que reducen varianza mediante promediado de modelos independientes, boosting reduce bias mediante corrección iterativa de errores:

  • Cada modelo se enfoca en los errores de los modelos anteriores
  • La combinación final es una suma ponderada de todos los modelos
  • Convierte “weak learners” en un “strong learner” con garantías teóricas

2. Familia de algoritmos

Hemos visto la evolución desde algoritmos clásicos hasta implementaciones modernas:

  • AdaBoost: El pionero, actualiza pesos de muestras, ideal para entender el concepto
  • Gradient Boosting: Generalización flexible que funciona con cualquier función de pérdida diferenciable
  • XGBoost: Velocidad + regularización avanzada, el estándar de la industria
  • LightGBM: Máxima velocidad y eficiencia en memoria, ideal para datasets grandes
  • CatBoost: Robustez y manejo nativo de categorías, excelente “out of the box”

3. Comparación con otros métodos ensemble

Aspecto Bagging/RF Boosting
Construcción Paralela Secuencial
Objetivo ↓ Varianza ↓ Bias
Base learners Complejos (árboles profundos) Simples (árboles shallow)
Velocidad Rápido Más lento
Overfitting Bajo riesgo Mayor riesgo
Sensibilidad a parámetros Baja Alta
Rendimiento típico Muy bueno Excelente

Boosting típicamente supera a Random Forest cuando: - Tienes tiempo para tuning de hiperparámetros - Los datos son relativamente limpios (no extremadamente ruidosos) - Priorizas precisión sobre velocidad de entrenamiento - Quieres extraer el máximo rendimiento posible

4. Hiperparámetros críticos

Los hiperparámetros más importantes que controlan el comportamiento del boosting son:

learning_rate + n_estimators → Control de aprendizaje
max_depth + min_child_weight → Complejidad de árboles
subsample + colsample_bytree → Regularización estocástica
lambda + alpha → Regularización de pesos
early_stopping → Prevención automática de overfitting

El balance adecuado entre estos parámetros determina si el modelo underfits, se generaliza bien, o sobreajusta.

Guía de decisión rápida

¿Cuándo usar boosting?

Usa boosting cuando:

  • Trabajas con datos tabulares/estructurados
  • Necesitas el máximo rendimiento predictivo
  • Tienes features numéricas y categóricas bien definidas
  • Puedes dedicar tiempo a experimentación y tuning
  • El problema es de clasificación o regresión supervisada

No uses boosting cuando:

  • Tienes muy pocos datos (< 100 muestras)
  • Los datos son extremadamente ruidosos
  • Trabajas con imágenes, texto, o señales (considera deep learning)
  • Necesitas entrenamiento en tiempo real
  • La interpretabilidad individual es crítica (usa modelos lineales o árboles simples)

¿Qué implementación elegir?

┌─ ¿Tienes muchas features categóricas?
│  └─ Sí → CatBoost
│  └─ No → Continúa
│
├─ ¿Dataset muy grande (>50k muestras, >100 features)?
│  └─ Sí → LightGBM
│  └─ No → Continúa
│
├─ ¿Primera vez con boosting o necesitas documentación extensa?
│  └─ Sí → XGBoost
│  └─ No → XGBoost igual (es el más versátil)
│
└─ Para aprendizaje: sklearn GradientBoosting

Recomendaciones prácticas finales

Para empezar:

  1. Usa XGBoost con parámetros conservadores
  2. Implementa early stopping con conjunto de validación
  3. Compara con un baseline simple (regresión lineal o árbol único)
  4. Visualiza learning curves para detectar overfitting

Para mejorar:

  1. Experimenta con las tres implementaciones modernas (XGBoost, LightGBM, CatBoost)
  2. Entiende el efecto de cada hiperparámetro principal
  3. Usa cross-validation para evaluar robustez
  4. Considera feature engineering (a menudo más importante que hiperparámetros)

Para producción:

  1. Usa early stopping para evitar sobreajuste
  2. Serializa modelos con pickle/joblib o formato nativo
  3. Monitorea distribución de predicciones en producción
  4. Documenta hiperparámetros y decisiones de diseño
  5. Considera CatBoost por su robustez y velocidad de inferencia
El consejo más importante

En la práctica profesional, boosting + buenas features > boosting complejo + features mediocres.

Dedica más tiempo a:

  • Entender tus datos
  • Crear features informativas
  • Validar correctamente
  • Evitar data leakage

Y menos tiempo a:

  • Optimizar el último 0.1% de accuracy
  • Probar todas las combinaciones posibles de hiperparámetros
  • Usar arquitecturas excesivamente complejas

Recursos adicionales

Papers fundamentales:

  • Freund & Schapire (1997): “A Decision-Theoretic Generalization of On-Line Learning and an Application to Boosting” - AdaBoost original
  • Friedman (2001): “Greedy Function Approximation: A Gradient Boosting Machine” - Gradient Boosting
  • Chen & Guestrin (2016): “XGBoost: A Scalable Tree Boosting System” - XGBoost
  • Ke et al. (2017): “LightGBM: A Highly Efficient Gradient Boosting Decision Tree” - LightGBM
  • Prokhorenkova et al. (2018): “CatBoost: unbiased boosting with categorical features” - CatBoost

Documentación oficial:

  • XGBoost: https://xgboost.readthedocs.io/
  • LightGBM: https://lightgbm.readthedocs.io/
  • CatBoost: https://catboost.ai/docs/
  • scikit-learn: https://scikit-learn.org/stable/modules/ensemble.html

Para práctica:

  • Kaggle competitions: Muchas competencias se ganan con boosting
  • UCI Machine Learning Repository: Datasets tabulares para experimentar
  • OpenML: Plataforma con datasets y benchmarks

Próximos pasos

Ahora que dominas los métodos de boosting, estás equipado para:

  1. Aplicar boosting a problemas reales: Tanto en competencias como en proyectos profesionales
  2. Combinar con otros métodos: Stacking, voting, o como parte de pipelines más complejos
  3. Explorar variantes especializadas: Boosting para ranking, survival analysis, etc.
  4. Avanzar a redes neuronales: Que veremos en el siguiente capítulo y son complementarias para otros tipos de datos

Boosting es una herramienta fundamental en el toolkit de cualquier científico de datos moderno. Con el conocimiento adquirido en este capítulo, tienes las bases sólidas para aplicarlo efectivamente y seguir explorando sus numerosas variantes y aplicaciones.

Ejercicios recomendados

Para consolidar tu aprendizaje:

  1. Implementa un pipeline completo con uno de los datasets del curso usando XGBoost, LightGBM y CatBoost
  2. Compara rendimiento de boosting vs Random Forest en el mismo problema
  3. Visualiza el efecto de diferentes hiperparámetros en un problema de tu elección
  4. Participa en una competencia de Kaggle usando métodos de boosting
  5. Explora interpretabilidad usando SHAP values con modelos de boosting

Estos ejercicios te darán experiencia práctica invaluable que complementa la teoría de este capítulo.